next surface previous surface 2D curves 3D curves surfaces fractals polyhedra

TRIPLE ORTHOGONAL SYSTEM SURFACES

A triple orthogonal system of surfaces consists in three given families with one parameter such that at any point common to three representatives of each family, the three tangent planes of the surfaces are 2 by 2 orthogonal. This notion generalizes to 3D the notion of double orthogonal systems of curves.
According to the Dupin theorem, two surfaces taken among two of the families of the system intersect along curvature lines.
 
 If the three families are given in a parametric form: ,
fixed u, variable v,w for the first family,
fixed v, variable u,w for the second one, 
fixed w, variable u,v for the third one, 
then the three families form a triple orthogonal system iff 
(in other words, the columns of the Jacobian matrix of  are orthogonal to one another).

A first series of examples is provided by a given double orthogonal system  translated perpendicularly to its plane (the three orthogonal families are composed of two families of cylinders based on the initial curves and the family of planes orthogonal to the direction of translation); the triple orthogonal system is parametrized by .
Some examples (first family, fixed u, in red, second one, fixed v, in blue, third one, fixed w, in green):
 
 
double orthogonal system associated cylindrical triple system
parametrization
equations of the three families name of the coordinate system (u,v,w)

planes
Cartesian coordinates

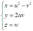
cylinders of revolution, planes
cylindrical coordinates

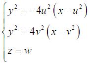
parabolic cylinders, planes
parabolic cylindrical coordinates

elliptic cylinders, hyperbolic cylinders, planes
elliptic cylindrical coordinates

A second series is provided by a given double orthogonal system  rotated around an axis of its plane (or rather an axis of symmetry to avoid conical points); the orthogonal families are composed of two families of surfaces of revolution based on the initial curves and the family of planes passing by the axis of rotation; if the rotation is around Oz, then the triple orthogonal system is parametrized by .
Some examples:
 
double orthogonal system associated triple system of revolution parametrization equations of the three families name of the coordinate system (u,v,w)

spheres, cones, planes
spherical coordinates

prolate ellipsoids, two-sheeted hyperboloids, planes
prolate ellipsoidal coordinates

oblate ellipsoids, one-sheeted hyperboloids, planes
oblate ellipsoidal coordinates

ring tori, spheres, planes
toroidal coordinates

spheres, spindle tori, planes
bispherical coordinates

A third series is obtained by the images by an inversion of a triple orthogonal system, the resulting system still being a triple orthogonal system (since the map is conformal).
 
initial orthogonal system 2D equivalent triple system parametrization equations of the three families name of the coordinate system (u,v,w)
orthogonal planes (associated to the Cartesian coordinates)
= three singular orthogonal beams of spheres
trispherical coordinates
system associated to the cylindrical coordinates
the inverse triple orthogonal system of the cylindrical coordinates is none other than the double system composed of two beams of orthogonal circles rotated around Oz...

horn tori, planes, spheres
inverse cylindrical coordinates
The spherical coordinates are invariant under inversion.

Fourth series: systems of homofocal quadrics.
 
triple system parametrization intervals of definition equations of the three families name of the coordinate system (u,v,w)
ellipsoids, one-sheeted hyperboloids, two-sheeted hyperboloids
if :

homofocal ellipsoidal coordinates;
see also quadric.
elliptic paraboloids turned upward, hyperbolic paraboloids, elliptic paraboloids turned downward
if :

homofocal paraboloidal coordinates;
see also hyperbolic paraboloid
spheres, elliptic cones.
Notice the double orthogonal system of biquadratics on the sphere (remember that on the sphere, any line is a curvature line).
if :


conical coordinates

 
 
next surface previous surface 2D curves 3D curves surfaces fractals polyhedra

© Robert FERRÉOL  2017