| surface suivante | surface précédente | courbes 2D | courbes 3D | surfaces | fractals | polyèdres |
CONOÏDE
Conoid,
Konoid

|
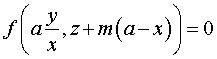
Équation cartésienne générale d'un conoïde d'axe intersection des plans d'équation Q = 0 et R = 0, de plan directeur d'équation P = 0 : Équation cartésienne générale d'un conoïde d'axe Oz et de plan directeur z = mx : En résolvant en z on obtient Première forme quadratique fondamentale dans le
cas droit : Équation cartésienne du conoïde d'axe Oz, de plan directeur z = mx et de directrice la courbe (C) d'équation f(y, z) = 0 dans le plan x = a : Paramétrisation cartésienne du conoïde
d'axe Oz, de plan directeur z =
mx et de directrice
la courbe : |
Exemples de conoïdes algébriques :
degré 2 : le paraboloïde
hyperbolique, qui est doublement un conoïde
degré 3 : toutes les surfaces
cubiques réglées, dont le conoïde
de Plücker, celui de Zindler
et les conoïdes
paraboliques.
degré 4 : le coin
conique.
Exemples de conoïdes transcendants :
- l'hélicoïde
droit.
- le conoïde
sinusoïdal, ou surface de Gaudi.
Quelques exemples visuels :
![]() |
![]() |
![]() |
| Conoïde droit de directrice une droite ni parallèle, ni
perpendiculaire à l'axe : paraboloïde
hyperbolique
équation : z = y /x. |
Conoïde droit de directrice une parabole d'axe perpendiculaire
à celui du conoïde : voir à conoïde
parabolique.
équation : z² = y/x |
Conoïde droit de directrice une parabole d'axe parallèle
à celui du conoïde : parapluie
de Whithney
équation : z = (y/x)² |
![]() |
![]() |
| Conoïde droit de directrice une cubique d'Agnesi : conoïde
de Plücker.
equation : z = (1 - (y/x)²)/(1 + (y/x)²). |
Conoïde droit de directrice un cercle dans un plan parallèle
à l'axe : coin conique.
équation : z² + (y/x)^2 = 1 |
| On peut généraliser la notion de directrice
à une surface : le conoïde est alors défini comme réunion
des droites passant par l'axe, parallèles au plan directeur, et
tangentes à la surface directrice.
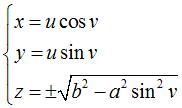
Par exemple, voici le cas où la surface directrice est la sphère de rayon b centrée en (a, 0, 0), le plan directeur xOy, et l'axe Oz : Équation cartésienne : Équation cylindrique : Paramétrisation cartésienne : Paramétrisation de la courbe de tangence avec la sphère : Lorsque b = a on obtient le conoïde de Plücker d'ordre 1. |
![]() |
| Toute courbe plane est la projection de l'intersection
d'un certain conoïde avec un cône de révolution ;
plus précisément, la courbe d'équation polaire dans xOy Ci-contre par exemple, la cardioïde |
![]() |
On désigne parfois par surface conoïdale
une
surface réglée ayant deux directrices rectilignes : le conoïde
est alors le cas où l'une de ces directrices est à l'infini.
L'image par une homographie d'une surface conoïdale
(donc en particulier d'un conoïde) est une surface conoïdale.
Le berlingot
est un exemple de telle surface.
| surface suivante | surface précédente | courbes 2D | courbes 3D | surfaces | fractals | polyèdres |
© Robert FERRÉOL 2020