| surface suivante | surface précédente | courbes 2D | courbes 3D | surfaces | fractals | polyèdres |
PARABOLOÏDE HYPERBOLIQUE
Hyperbolic
paraboloid (HP-bowl), Hyperbolisches Paraboloid



| Nom familiers : PH, voire péhache, ou selle de
cheval |
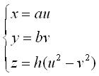
| Équation cartésienne : Quadrique doublement réglée. Paramétrisations cartésiennes :
Lignes
de striction : les 2 paraboles sections par les plans |
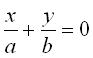
| Le paraboloïde est dit équilatère
si
a = b (les génératrices de chaque famille
sont alors deux à deux orthogonales).
Équation cartésienne dans le cas équilatère : Équation cylindrique : Paramétrisations cartésiennes :
Élément d'aire : Deuxième forme quadratique fondamentale : Courbure de Gauss : Courbure moyenne : |
Un paraboloïde hyperbolique peut être
défini comme la surface réglée
engendrée par les droites
- rencontrant deux droites non coplanaires
en restant parallèles à un plan fixe (sécant à
ces deux droites), appelé plan directeur du paraboloïde
- rencontrant trois droites 2 à
2 non coplanaires, mais parallèles à un plan donné
(lorsque ce n'est pas le cas, on obtient l'hyperboloïde
à une nappe).
| On peut aussi définir un paraboloïde hyperbolique
comme la réunion des droites joignant deux points se déplaçant
à vitesse constante sur deux droites non coplanaires.
Un quadrilatère gauche quelconque a donc ses 4 côtés inclus dans un unique PH (voir ce lien pour des précisions) ; malheureusement ce PH n'est pas la surface d'aire minimale s'appuyant sur ce contour : la courbure moyenne du PH n'est pas nulle ; voir une telle surface minimale à surface de Schwarz). Voir aussi le berlingot. |
![]() ![]() |
| Si le quadrilatère gauche est ABCD, le
PH correspondant est paramétré par En rouge les deux paraboles diagonales u = v et u = 1–v dont le point d'intersection est l'isobarycentre du tétraèdre ABCD. Voir aussi le patch
de Coons qui généralise cette construction au cas où
les côtés sont courbes.
|
![]() |
| On réalise donc une portion de paraboloïde hyperbolique en tendant des élastiques entre deux tiges rectilignes (les élastiques étant accrochés de façon régulière sur les tiges). |
|
Dans les équations ci-dessus, le paraboloïde
est la réunion des droites
parallèles au plan directeur (qui est aussi asymptote) (P)
:
et également
la réunion des droites
parallèles au plan directeur (P') :
.
Le paraboloïde hyperbolique est doublement un conoïde
; plus précisément, c'est un conoïde d'axe l'une des
droites ,
de plan directeur (P') et de directrice une autre droite
,
et un conoïde d'axe l'une des droites
,
de plan directeur (P) et de directrice une autre droite
.
Le cas équilatère (a = b)
correspond au cas du conoïde droit, et c'est un cas particulier de
conoïde
de Zindler généralisé.
C’est également une surface de translation (translation d’une parabole le long d’une autre, orientée en sens inverse).

Les sections par des plans parallèles à Oz sont des paraboles, et les autres sections planes sont des hyperboles éventuellemnt dégénérées.
Dans le cas équilatère, les sections par
des cylindres d'axe Oz sont des courbes
de la crêpe.
| Les projections sur xOy des géodésiques
du PH équilatère z = xy sont les courbes solutions
de l'équation différentielle : Sont tracées sur cette figure les géodésiques issues de O et les "cercles géodésiques" correspondants. |
![]() |
![]() |
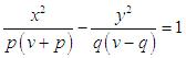
| Paraboloïdes confocaux et famille triple orthogonale
de paraboloïdes.
Si a > b, les paraboloïdes d'équation |
![]() |
Voir aussi les surfaces
retournables, les surfaces de
Bézier et la selle pour singe.
Jeu pour enfants, boulevard Richard Lenoir à Paris. Les cordes suivent (plus ou moins) les droites du PH ... |
Ici, Place Bellecour à Lyon. On peut considérer que les cordes suivent les géodésiques et les cercles géodésiques.. |
![]() Structure formée de 12 portions de paraboloïdes hyperboliques
; les 8 génératrices obliques (joignant 2 milieux de côté
de carrés) sont des génératrices d'un hyperboloïde
de révolution.
|
Sculpture d'Angel DUARTE en morceaux de paraboloïdes hyperboliques (Lausanne, Suisse) utilisant cette structure. Elle possède 36 portions de paraboloïdes hyperboliques. |
Explication de cette structure. Comparer avec la surface minimale P de Schwarz. |
Restaurant Los Manantiales à Mexico formé de quatre portions de paraboloïdes hyperboliques. Architecte : F. Candela 1958 |
Bibliothèque de Tromsø en Norvège, formée de deux portions de paraboloïdes hyperboliques. |
Voûtes à l'intérieur de la Sagrada Familia à
Barcelone.
|
Église de Becerril de la Sierra (Espagne) Architecte : Fr. Francisco Coello de Portugal |
Le Palais du Cnit près de Paris, dont la forme rappelle celle
du paraboloïde hyperbolique,
|
![]() |
Voir d'autres belles photos sur la page
du mathouriste.
| surface suivante | surface précédente | courbes 2D | courbes 3D | surfaces | fractals | polyèdres |
© Robert FERRÉOL 2019