| courbe suivante | courbe précédente | courbes 2D | courbes 3D | surfaces | fractals | polyèdres |
KAMPYLE (ou CAMPYLE) D'EUDOXE
Kampile
of Eudoxus, Kampyla des Eudoxus

| Du grec Kampulos : courbé (qui a donné
aussi le mot "jambe")
Eudoxe de Cnide (406-355 avant J.C.) : astronome, mathématicien et philosophe grec. Autre nom : courbe de Clairaut. |
![]() |
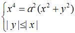
Équation polaire : Équation cartésienne : (à comparer avec celle de la lemniscate de Gerono). Quartique rationnelle. Equation des paraboles asymptotes (en vert) : |
| Un point P parcourant un cercle (C) de centre O, la tangente à (C) en P coupe Ox en Q ; la campyle d'Eudoxe est le lieu du point d'intersection de la droite (OP) et de la parallèle à Oy passant par Q. | ![]() |
| La kampyle (en rouge ci-contre) est aussi le lieu du
foyer d'une parabole astreinte à rester tangente à une droite
en un point fixe ; c'est donc une glissette.
Pour une parabole de paramètre p, on obtient
une kampyle de paramètre a = p/2.
|
![]() |
| L'intersection d'un tore
à trou nul avec un cône
de révolution de sommet le centre du tore est une courbe dont
la projection sur le plan du cercle central du tore est une portion de
kampyle.
Par exemple, l'intersection du tore à trou nul de rayon a : (voir cette page du mathouriste). |
![]() |
| La kampyle d’Eudoxe est aussi la radiale de la chaînette (ici, modulo une rotation d'angle p/2), |
![]() |
| ainsi que l'inverse de l'oeuf double, |
![]() |
et également un cas particulier de polygastéroïde.
Elle a été considérée par
Eudoxe car c'est une duplicatrice ; en effet, si on la coupe avec le cercle
de centre C
passant par O (d'équation
), le point d'intersection Q est à la distance
de O.

On retrouve aussi la kampyle comme roulante du
mouvement conchoïdal
rectiligne, et comme base du mouvement du
kappa (voir cette page).
| courbe suivante | courbe précédente | courbes 2D | courbes 3D | surfaces | fractals | polyèdres |
© Robert FERRÉOL 2023