courbe suivante courbe précédente courbes 2D courbes 3D surfaces fractals polyèdres

COURBE DE CLAIRAUT
Clairaut's curve, clairautsche Kurve


Courbe étudiée par Clairaut en 1726.
Autre nom : (courbe) multiplicatrice de Clairaut.

 
Équation polaire :  avec n réel (ou ).
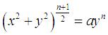
Équation cartésienne : .

Courbe algébrique si et seulement si n est rationnel.
 

Les courbes de Clairaut sont définies par leur équation polaire ci-dessus.

Exemples pour n positif (partie d'ordonnée positive) :

n = 1 : cercle 

n  = 2 : oeuf double

n = 3 : folium simple

n = 1/2 : courbe du dipôle

n = 3/2

n = 5/2

n  = 1/3 

n = 2/3

n = 4/3

Exemples pour n négatif (partie d'ordonnée positive) :

n = -1 : droite y = a

n  = -2 : kampyle d'Eudoxe

n = -3 : cubique duplicatrice

n =- 1/2 : 
cf. quartique de Külp

n = -3/2

n = -5/2

n  = -1/3 : cf cubique d'Agnesi

n = -2/3 : courbe de Roche.

n = -4/3

 
 
Les courbes de Clairaut sont les glissettes des spirales sinusoïdales
plus précisément, si on fait glisser la spirale sinusoïdale de paramètre n : sur une droite en un point fixe, la glissette du pôle est la courbe de Clairaut de paramètre 1/n  : .
D'après le théorème d'équivalence glissette/roulette (voir à glissettes) les courbes de Clairaut sont donc aussi les roulettes rectilignes des développées des spirales sinusoïdales.

Exemples : 
pour  n = 1/2 : l'oeuf double est la glissette de la pointe de la cardioïde (cf. animation), 
pour n = 2 :  la courbe du dipôle est la glissette du centre de la lemniscate de Bernoulli,
pour n = -1/2 : la campyle d'Eudoxe est la glissette du foyer de la parabole,
pour n = - 1/3 : la cubique duplicatrice est la glissette du foyer de la cubique de Tschirnhausen.

Les trajectoires orthogonales des diverses courbes de Clairaut de paramètre n sont les courbes de Clairaut de paramètre 1/n.
Ci-contre les cas n = 1 et 2.

La courbe de Clairaut de paramètre n est aussi la radiale de la courbe de Ribaucour de paramètre n + 1.
 
 
courbe suivante courbe précédente courbes 2D courbes 3D surfaces fractals polyèdres

© Robert FERRÉOL 2012