courbe suivante courbe précédente courbes 2D courbes 3D surfaces fractals polyèdres

LIGNE BRACHISTOCHRONE D'UNE SURFACE
Brachistochrone line of a surface, Brachistochronelinie einer Fläche


Notion étudiée par Roger en 1848.
Du grec brakhisto "le plus court" (s'écrit donc avec un i et non un y) et chronos "temps".
Voir  : Paul Appell : cours de mécanique rationnelle, page 482 à 485.

 
Équation différentielle :où  et  est le vecteur normal à la surface.

Une ligne brachistochrone d'une surface est une courbe sur laquelle doit glisser sans frottement un point matériel pesant placé dans un champ de pesanteur uniforme de sorte que le temps de
parcours soit minimal parmi toutes les courbes joignant deux points de la courbe, quels que soient les choix de ces deux points.
Autrement dit, ce sont les lignes les plus courtes en temps, alors que les géodésiques sont les lignes les plus courtes en distance.
 

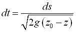
Voici la provenance de l'équation différentielle ci-dessus :
La conservation de l'énergie donne , soit  : le temps de parcours entre A et B est donc  ; et l'on montre par les équations de Lagrange que les courbes minimisant une intégrale  sont solutions de .

Exemples (à comparer avec les géodésiques correspondantes) :

    - les lignes brachistochrones d'un plan non horizontal sont les cycloïdes d'axe de pente maximum (voir brachistochrone pour le cas du plan vertical).

    - les lignes brachistochrones d'un cylindre vertical quelconque sont les courbes se développant en des cycloïdes d'axe vertical.
 
Des brachistochrones de cylindre de révolution :


 
Des brachistochrones de cône de révolution :

 
Une brachistochrone sphérique :

 
 
courbe suivante courbe précédente courbes 2D courbes 3D surfaces fractals polyèdres

© Robert FERRÉOL  2004