courbe suivante courbe précédente courbes 2D courbes 3D surfaces fractals polyèdres

GÉODÉSIQUE d'une surface
Geodesic, Geodätische


Courbe étudiée par Johann Bernoulli en 1897, et par Liouville en 1844 qui lui à donné son nom. 
Du grec "terre" et daiein "partager, diviser".
Autre nom (issu du vocabulaire de la navigation) : orthodromie, du grec orthos "droit" et dromos "course".

 
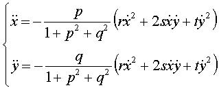
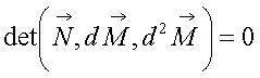
Équation différentielle :  où  est le vecteur normal à la surface en M, 
soit pour une surface paramétrée en (u, v) et une courbe paramétrée en t.

Ceci s'écrit, pour une surface z = f(x, y), avec u = x = t et v = y soit  (voir les notations).
La condition partielle  ne restreint pas la généralité (elle conduit à une paramétrisation normale de la géodésique ; certains auteurs ne désignent comme géodésiques que celles-ci , les précédentes étant des prégéodésiques) ; on obtient alors le système différentiel :
qui s'écrit,  pour une surface z = f(x, y), avec u = x  et v = y

.

Les (lignes) géodésiques d'une surface, qui sont en quelque sorte les "droites" de cette surface, possèdent plusieurs définitions équivalentes :

DEF 1 (mécanique) : ce sont les trajectoires d'un point matériel se déplaçant sur la surface et soumis à la seule réaction normale ; on peut donc les réaliser physiquement en faisant rouler (côté concave) des petites billes sur la surface, en état d'apesanteur (avec pesanteur, ces lignes deviennent les lignes d'écoulement)

DEF 2 (mécanique) : ce sont les figures d'équilibre d'un fil pesant homogène inextensible placé sur la surface, en état d'apesanteur (avec pesanteur, ces figures deviennent les chaînettes)

DEF 3 : ce sont les courbes tracées sur la surface telles qu'en chaque point la normale principale à la courbe (si elle existe) coïncide avec la normale à la surface (autrement dit telles que le plan osculateur à la courbe contienne la normale à la surface ou encore que le plan rectifiant de la courbe soit le plan tangent à la surface).

DEF 4 : ce sont les courbes tracées sur la surface telles qu'en tout point la courbure normale de la courbe (c'est-à-dire la courbure de la section normale de la surface dans la direction de la tangente à la courbe) est égale en valeur absolue à la courbure de la courbe.

DEF 5 : ce sont les courbes tracées sur la surface à courbure géodésique nulle : de façon imagée, ce sont les trajectoires d'observateurs se déplaçant sur la surface en marchant droit devant eux, ou de petites voitures dont la direction est bloquée en position rectiligne.

Les géodésiques d'une surface sont des courbes dont la torsion géodésique est égale à la torsion : le cas général donne les pseudo-géodésiques.

En général, par tout point de la surface passe, dans une direction donnée, une géodésique et une seule, et par deux points au moins une géodésique (cette propriété est une généralisation des axiomes d'Euclide, mais pour une surface qui n'est pas isométrique au plan, tout est dans le "en général" !)

On démontre que tout arc joignant deux points de la surface, de longueur minimum, est une géodésique, mais il peut y avoir des géodésiques joignant deux points, de longueur non minimale (par exemple deux points d'une génératrice d'un cylindre de révolution sont aussi joints par une hélice circulaire, plus longue, qui est pourtant aussi une géodésique).

Par contre, pour tout point B assez voisin d'un point A de la surface, il existe une unique géodésique joignant A à B, réalisant forcément le minimum de la distance géodésique de A à B.

Exemples :
     - les géodésiques du plan sont les droites
     - les géodésiques de la sphère sont les grands cercles et sont aussi appelées des orthodromies.
voir aussi www.dms.umontreal.ca/~terrierj/geodsursphere.html
     - les géodésiques d'un cylindre ou d'un cône, et plus généralement des surfaces développables sont les courbes qui se transforment en des droites quand on applique la surface sur un plan ; pour le cylindre de révolution, ce sont les hélices circulaires (ou des cercles ou droites), et voir les géodésiques du cône de révolution directement sur sa page.
     - les géodésiques du paraboloïde de révolution, de l'ellipsoïde de révolution, du paraboloïde hyperbolique, de la pseudo-sphère sont sur leur page respective.
     - les géodésiques du tore donnent des calculs conduisant à des intégrales elliptiques
     - les méridiennes d'une surface de révolution en sont des géodésiques (mais pas les parallèles, sauf celles dont le rayon est extrémal).
     - les droites d'une surface en sont des géodésiques (et ce sont les seules qui sont à la fois des géodésiques et des asymptotiques).
    - une géodésique d'une surface est plane si et seulement si c'en est une ligne de courbure ; c'est alors la section de la surface par un plan qui contient en chaque point la normale à la surface ; par exemple, la section d'une surface par un plan de symétrie est une géodésique.
    - les développées d'une courbe gauche sont des géodésiques de la surface polaire de la courbe.
 
 
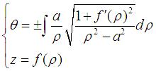
Pour une surface de révolution :, les géodésiques ont pour équation cylindrique : ([gray] p. 577), mais le théorème de Clairaut suivant permet de mieux les caractériser :
excepté dans le cas des méridiennes, les géodésiques d'une surface de révolution sont les courbes telles que le produit de la distance à l'axe d'un point M de la courbe avec le cosinus de l'angle entre la courbe et la parallèle passant par M est constant, soit 
Autrement dit, si l'on reporte une longueur égale à  sur la tangente, la projection horizontale du segment a une longueur constante (donc plus on s'éloigne de l'axe, plus ça monte).

Voir par exemple les remarquables géodésiques de la poire de Tannery.

Voir aussi les courbes brachistochrones, les plus courtes en temps, les cercles géodésiques, à courbure géodésique constante, et les pseudo-géodésiques, courbes dont le plan osculateur fait un angle fixé avec le plan tangent (angle droit dans le cas des géodésiques).
 
courbe suivante courbe précédente courbes 2D courbes 3D surfaces fractals polyèdres

© Robert FERRÉOL  2018