| courbe suivante | courbe précédente | courbes 2D | courbes 3D | surfaces | fractals | polyèdres |
LIGNES DE CHAMP, LIGNES ORTHOGONALES, SYSTÈME DOUBLE
ORTHOGONAL
Field
lines, orthogonal lines, doubly orthogonal system, Feldlinien,
othogonale Linien, zweifach orthogonales Kurvensystem
Deux familles de courbes sont dites orthogonales
lorsqu'en tout point commun à une courbe de chaque famille, les
tangentes sont orthogonales, et l'on dit que l'une des familles est formée
des trajectoires orthogonales de l'autre. On est alors en présence
d'un système double orthogonal de courbes.
| Si la première famille de courbes est donnée sous la forme : | les trajectoires orthogonales sont données par : | |
| Définition géométrique | f( M ) = cte | g (M) = cte avec |
| Équation implicite cartésienne | P(x, y) = cte | Q(x, y ) = cte avec |
| Équation implicite cartésienne harmonique | P(x, y) = cte avec P harmonique | Q(x, y ) = cte avec |
| Equation implicite complexe | Re (f (z) ) = cte avec f holomorphe (donc conforme) | Im (f (z) ) = cte |
| Équation implicite polaire | P( |
Q( |
| Équation différentielle cartésienne | y' = f(x, y) | y' = -1 / f(x, y) |
| Équation différentielle polaire | r' = f( |
r' = - r²
/ f( |
| Lignes de champ du champ cartésien : | (f(x, y), g(x, y)) | (g(x, y), –f(x, y)) |
| Lignes de champ du champ polaire : | (f( |
(g( |
| Si les deux familles sont données sous une unique
forme paramétrique : |
Les trajectoires orthogonales d'une famille de droites sont les développantes de l'enveloppe de cette famille ; ce sont donc des courbes parallèles (voir l'exemple 13 ci-dessous).
Exemples :
|
Si vous lisez q, c'est en fait theta, et r, c'est en fait rho... |
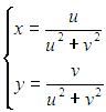
Expression paramétrique commune
(courbes rouges : u = cte courbes bleues : v = cte) |
|
|
|
||||||||||||||||||||||||||||
|
|
d'où |
Lignes de champ magnétique induit par un courant rectiligne
uniforme orthogonal en O à xOy.
Équipotentielles électrostatiques induites par une charge placée en O ou des charges uniformément réparties sur une droite orthogonale en O à xOy. |
![]() |
||||||||||||||||||||||||||||
|
d'où |
![]() |
||||||||||||||||||||||||||||||
|
Famille de paraboles homofocales
|
|
d'où |
![]() |
|||||||||||||||||||||||||||||
|
d'où |
Visualisation approchée de l'exemple n° 8 ci-dessous au
voisinage de O.
Ce sont les courbes de niveau du paraboloïde hyperbolique |
![]() |
|||||||||||||||||||||||||||||
|
|
Cas limite de l'exemple n°7 ci-dessous quand les
conducteurs sont infiniment voisins.
Voir ausi l'abaque de Smith. |
![]() = deux faisceaux de cercles singuliers orthogonaux |
|||||||||||||||||||||||||||||
|
|
Remarque : figure obtenue par inversion de celle de l'exemple 2. |
![]() |
|||||||||||||||||||||||||||||
|
d'où |
Ci-contre, vues pour n = 4 et n = -4. |
![]() |
|||||||||||||||||||||||||||||
|
???? | ???? | Lignes
de champ d'un dipôle magnétique
Lignes de champ d'un
dipôle électrostatique
|
![]() |
||||||||||||||||||||||||||||
|
|
d'où |
Lignes de champ magnétique induit par un courant rectiligne
uniforme orthogonal en A à xOy et un courant parallèle
de sens contraire passant par B.
Équipotentielles électrostatiques induites par des charges uniformément réparties sur une droite orthogonale en A à xOy et des charges opposées u. r. sur une droite orthogonale en B à xOy. |
= deux faisceaux de cercles orthogonaux |
||||||||||||||||||||||||||||
|
d'où |
Lignes de champ magnétique induit par un courant rectiligne
uniforme orthogonal en A à xOy et un courant parallèle
de même sens passant par B.
Équipotentielles électrostatiques induites par des charges uniformément réparties sur une droite orthogonale en A à xOy et des charges égales u. r. sur une droite orthogonale en B à xOy. |
![]()
Voir une généralisation à cassinienne
pour les courbes rouges, et à stelloïde
pour les courbes bleues : cas où |
|||||||||||||||||||||||||||||
|
Équipotentielles électrostatiques induites par deux charges opposées placées en A et en B, autrement dit, un dipôle électrostatique. |
![]() |
||||||||||||||||||||||||||||||
|
Équipotentielles électrostatiques induites par deux charges égales placées en A et en B. |
![]() |
||||||||||||||||||||||||||||||
|
Réseau de coniques homofocales
|
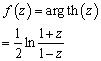
f(z) = argch(z)
f-1(z) = ch (z) (image du réseau n°1 par la transformation de Joukovski : j(z) = (z + 1/z)/2) |
Equipotentielles électrostatiques induites par
des charges uniformément réparties sur le segment [AB] ???
Figure d'interférence |
![]() |
|||||||||||||||||||||||||||||
|
Développantes de cercle et leurs génératrices
|
???? | ???? |
![]() |
|||||||||||||||||||||||||||||
|
Lignes d'écoulement uniforme perturbé par un obstacle (le segment [AB] avec A(0, 1) et B(0, -1)) |
La courbe bleue passant par O (obtenue pour a = 1) est une puntiforme |
||||||||||||||||||||||||||||||
|
où j est la transformation de Joukovski |
Lignes d'écoulement uniforme perturbé par le dique de centre O et de rayon 1. |
![]() |
|||||||||||||||||||||||||||||
|
où Par exemple, pour v = pi/2, on obtient : |
Lignes d'écoulement uniforme dans un tube coudé. |
![]() |
Autres exemples :
| Lemniscates
de Bernoulli : |
Trèfles à
4 feuilles ; |
![]() |
![]() |
| Paraboles |
Paraboles rouges |
![]() |
![]() |
| cycloïdes: |
|
![]() |
|
Voir aussi à tractrice., ainsi que cet article.
Les projections sur un plan horizontal des lignes de pente et des lignes de niveau d'une surface forment deux réseaux orthogonaux ; Voir par exemple la boîte à oeufs.
On peut généraliser la notion de courbes orthogonales à des angles quelconques ; deux familles de courbes se coupent sous l'angle V lorsqu'en tout point commun à une courbe de chaque famille, les tangentes font un angle V, et l'on dit que l'une des famille est formée des trajectoires sous l'angle V de l'autre.
Par exemple, les trajectoires sous l'angle
V du
faisceau des droites issues de O sont les spirales
logarithmiques;
:

La généralisation 3D des systèmes
doubles orthogonaux est la notion de système
triple orthogonal de surfaces.
![]() |
Carte obtenue par projection stéréographique
de pôle un point de l'équateur ; les parallèles et
méridiens forment deux faisceaux de cercles orthogonaux.
Bourse du commerce, Paris. |
![]() |
| courbe suivante | courbe précédente | courbes 2D | courbes 3D | surfaces | fractals | polyèdres |
© Robert FERRÉOL 2022