surface suivante surface précédente courbes 2D courbes 3D surfaces fractals polyèdres

SURFACE DE CAYLEY
Cayley surface, cayleysche Fläche


Deuxième forme 
Forme 2
Troisième forme 

 
Surface étudiée par Cayley en 1850.
Arthur Cayley (1821-1895) : mathématicien anglais.
Voir la programmation avec Povray sur le site d'Alain Esculier

 
Forme 1
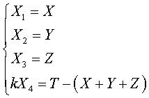
Équation homogène dite tétraédrique, soit .
Surface cubique.
Les 4 points coniques sont .
Les 9 droites sont les 6  pour   (la droite  joint  à )
et les 3  pour .

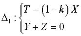
Dans la version affine associée, d'équation , ne subsistent à distance finie qu'un point conique A4 et 3 droites incluses (les 3 axes, en noir ci-contre) .

La surface de Cayley est la surface définie (à homographie près) par l'équation ci-dessus.

C'est la seule surface cubique dont le groupe des homographies la laissant invariante est le groupe S4 des permutations de 4 objets (cf. l' invariance par les 24 permutations des coordonnées ) et c'est aussi la seule surface cubique à posséder 4 points coniques (maximum possible pour une surface cubique).
Cette surface cubique non lisse possède 9 droites, qui sont réelles : les arêtes du tétraèdre formé par les points coniques et 3 autres droites, qui sont coplanaires.

Une première transformation projective permet de "voir" les 9 droites à distance finie :
Forme 2
Le changement de coordonnées défini par  donne l'
Équation homogène 2 : .
Les points coniques sont .
Les 9 droites sont les 6 arêtes du tétraèdre formé par les points coniques, plus
.

Équation cartésienne affine associée : .
Les points coniques sont 
Les 9 droites sont les 6 arêtes du tétraèdre des points coniques, plus :
,.

Les axes du repère sont en noir, les trois autres arêtes du tétraèdre en bleu, et les 3 droites  en rouge.
Nous avons choisi ici k = 2 (pour k = 1 les droites  sont rejetées à l'infini).

Dans ce cas, on montre que la surface de Cayley est le lieu des points dont les projetés sur les quatre plans-faces du tétraèdre des points coniques sont coplanaires. C'est en quelque sorte la généralisation à l'espace du problème du lieu des points dont les projetés sur les côtés du triangle sont alignés, lieu qui est, lui, le cercle circonscrit au triangle (cf droite de Simson).

Une deuxième transformation projective permet d'obtenir une vue affine où la surface est invariante par les 24 isométries du tétraèdre régulier (mais 3 des 9 droites sont rejetées à l'infini) :
Forme 3
Le changement de coordonnées défini par  donne l' 
Équation homogène 3 :  ;
Les points coniques sont
.
Les neuf droites sont les 6 arêtes du tétraèdre et
.
Équation cartésienne affine associée : 
(voir à surface du sinus une paramétrisation simple)
Les points coniques sont 

formant un tétraèdre régulier dont les 6 arêtes sont les droites  (les droites  sont rejetées à l'infini dans ce modèle).
La rotation d'un huitième de tour définie par  donne pour équation cartésienne : , se simplifiant en 

Le volume de la partie tétraédrique vaut .
Sous cette forme, la surface de cayley est une surface tétraédrique de Goursat.

Vue avec les 3 axes de coordonnées (en noir) et les 6 droites incluses.

La troisième transformation projective ci-dessous permet d'obtenir la forme dite "pentaédrique" que possède toute surface cubique (théorème de Sylvester-Clebsch) :
 
Forme 4
Le changement de coordonnées défini par  donne l' 
Équation homogène 4 :  ;
Les points coniques sont .
Les neuf droites incluses sont les 6 arêtes du tétraèdre et .
Équation cartésienne affine associée : .
Les points coniques sont .
En posant , on obtient l'
Équation homogène dite "pentaédrique" dans 
(comparer avec l'équation pentaédrique de la surface de Clebsch).

Vue avec les 6 arêtes du tétraèdre (en bleu, jaune et vert) et les 3 droites  en rouge.

Lien vers une applet permettant de manipuler la figure formée par les droites incluses dans la surface.

Ne pas confondre avec les surfaces réglées de Cayley.

Vue de la forme 2 réalisée par Alain Esculier , la surface ayant subi une affinité de sorte que le tétraèdre central soit régulier

Vue de la forme 4 réalisée par Alain Esculier

Vue de la forme 3  ; en rose, les sections par les 3 plans de coordonnées, qui sont des cercles.
À droite, composé de deux surfaces (anaglyphe à regarder avec des lunettes rouge/cyan).


surface suivante surface précédente courbes 2D courbes 3D surfaces fractals polyèdres

© Robert FERRÉOL, Jacques MANDONNET, Alain ESCULIER 2012