| surface suivante | surface précédente | courbes 2D | courbes 3D | surfaces | fractals | polyèdres |
SURFACE (DIAGONALE CUBIQUE) DE CLEBSCH
Clebsch
surface, clebsche Diagonalfläche

| Surface étudiée par Clebsch en 1871 A.
Clebsch, Ueber
die Anwendung der quadratischen Substitution auf die Gleichungen 5ten Grades
und die geometrische Theorie des ebenen Fünfseits, Math. Ann.
IV (1871), 284–345.
Alfred Clebsch (1833-1872) : mathématicien allemand. Lien : catalogue des modèles du laboratoire de mathématiques de Besançon. |
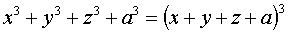
| Équation pentaédrique dans Surface cubique lisse à points hyperboliques. |
La surface de Clebsch est la surface donnée
par l'équation ci-dessus.
C'est, à homographie près, la seule surface
cubique dont le groupe des homographies la laissant invariante est le groupe
S5
des permutations de cinq objets (cf. l' invariance par les 120 permutations
des coordonnées
).
Elle possède la particularité que les 27
droites que comporte toute surface cubique lisse sont toutes réelles.
Ces 27 droites se répartissent en deux groupes
:
La surface de Clebsch est, à homographie près,
la seule surface cubique à comporter 10 points triples d'Eckardt.
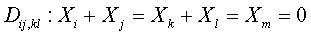
| 2) Les 12 droites du double-six
principal
Dans l'espace complexe, ces droites ont une définition très simple : ce sont les droites joignant le point de coordonnées homogènes |
![]() |
On montre que ces douze droites forment le "double-six"
Voici diverses représentations affines de cette
surface :
|
Le changement de coordonnées Équation homogène : Cette représentation présente l'inconvénient que le plan |
ici, les diagonales en bleu, et le double-six en rouge. |
Représentation affine choisie par Clebsch et Klein
en 1872 pour le modèle créé par le sculpteur Adolf
Weiler :
| Le changement de coordonnées défini par donne pour k = 4, l= 3 (choisis pour des considérations esthétiques) l' Équation homogène : Équation cartésienne affine associée
: |
Voici des représentations utilisant cette équation : remarquer les droites parallèles se coupant en un point d'Eckardt à l'infini.
Voici une transformation rationnelle telle que les 4 premiers
plans de Sylvester forment un tétraèdre régulier :
| Le changement de coordonnées défini par Équation homogène : Équation cartésienne affine associée : Soit : Les 4 premiers plans de Sylvester forment le tétraèdre régulier de sommets les points d'Eckardt : |
ici, les diagonales en bleu, et le double-six en rouge. |
Voici une série de vues d'une représentation où les 10 points d'Eckardt sont à distance finie :
![]() ![]() |
Voir aussi la surface
de Cayley.
![]() |
Gravure de Patrice Jeener, avec son aimable autorisation. |
| WEBOGRAPHIE
Page d'Alain Esculier sur le sujet : aesculier.fr/fichiersMaple/ClebschDroites/ClebschDroites.html Une version d'équation simple : x^3+y^3+z^3=4xyz+x+y+z, trouvée par Alain Esculier Autre site, par le même : enriques.mathematik.uni-mainz.de/csh/playing/galery/famous.html B. Hunt, The Geometry of Some special Arithmetic Quotients, Lecture Notes in Mathematics, vol.1637, Springer-Verlag 1996. Un texte en allemand simple et clair : mathedidaktik.uni-koeln.de/fileadmin/MathematikFiles/kaenders/kaenders_06.pdf |
| surface suivante | surface précédente | courbes 2D | courbes 3D | surfaces | fractals | polyèdres |
© Robert FERRÉOL, L. G. VIDIANI, Alain ESCULIER 2018