| surface suivante | surface précédente | courbes 2D | courbes 3D | surfaces | fractals | polyèdres |
SURFACE D'ÉQUIDISTANCE, ENSEMBLE DE SYMÉTRIE
Equidistance
surface, symetry set, skeletton, Äquidistanzfläche,
Symetriemenge, Skelett


| Autre nom : surface médiatrice. |
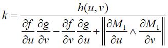
| Obtention de l'équation de la surface d'équidistance
: éliminer Cas particulier d'une surface et un plan : |
Réalisation : Alain Esculier |
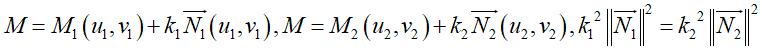
La surface d'équidistance de deux surfaces
et
est
le lieu des points M situés sur une normale en M1
à
et sur une normale en M2 à
avec
MM1 =MM2
(généralisation à la dimension 3 de la notion de courbe
d'équidistance).
C'est donc aussi :
- le lieu des points situés
sur deux surfaces parallèles
respectives aux deux surfaces, à la même distance.
- le lieu des centres des sphères
tangentes aux deux surfaces.
Exemples :
- deux surfaces parallèles
ont pour surface d'équidistance une autre surface parallèle.
- deux surfaces symétriques
par rapport à un plan ont une portion de ce plan comme surface d'équidistance
(par exemple, la surface d'équidistance de deux plans sécants
est formée des deux plans bissecteurs).
- la surface d'équidistance
d'une sphère et d'un plan est formée d'un ou deux paraboloïdes
de révolution ;
si la sphère est de
centre F et de rayon
R, et le droite noté
P,
la surface d'équidistance est définie par où
H
est le projeté de M sur D. La, ou les paraboloïdes
sont de foyer F et de plan directeur parallèle à P.
| Divers cas : sphère disjointe du plan, tangente, sécante au plan. |
Le deuxième paraboloïde n'est pas tracé. |
![]() |
![]() |
- la surface d'équidistance
de 2 sphères est formée de deux quadriques
de révolution bifocales ; si les sphères
sont respectivement de (centre, rayon) : (F,R) et (F',R'),
la surface d'équidistance est définie par .
Ces deux quadriques sont...
| ...deux ellipsoïdes lorsqu'une sphère est intérieure à l'autre : | ![]() |
...un ellipsoïde et un plan lorsque les sphères sont tangentes intérieurement : |
![]() |
| ...un ellipsoïde et un hyperboloïde H2 lorsque les sphères sont sécantes : | ![]() |
...un hyperboloïde et un plan lorsque les sphères sont tangentes extérieurement : |
![]() |
| ...deux hyperboloïdes lorque les sphères sont extérieures l'une à l'autre : | ![]() |
Ci-contre, la surface d'équidistance entre
un plan et un paraboloïde (une des deux nappes).
Surface algébrique de degré 6. |
![]() |
| Surface d'équidistance entre un ellipsoïde
et un plan.
La nappe rouge est le lieu des centres des sphères tangentes au plan et, extérieurement, à l'ellipsoïde, la nappe mauve est le lieu des centres des sphères tangentes au plan et, intérieurement, à l'ellipsoïde. |
Réalisation : Alain Esculier |
| - Si l'on fait tourner une néphroïde autour de son axe vertical, la surface d'équidistance de cette surface de révolution avec le plan passant par le cercle des rebroussements est une sphère. | ![]() |
On peut considérer les cas où les deux surfaces ne font qu'une. La surface d'équidistance, qui prend alors le nom d'ensemble de symétrie, est le lieu des centres des sphères bitangentes (ou multitangentes) à la surface, et donc aussi le lieu des points où les surfaces parallèles se recoupent elles-même.
Exemples :
| L'ensemble de symétrie d'un ellipsoïde quelconque |
| L'ensemble de symétrie de l'enveloppe d'une famille de sphères est le lieu des centres (mais attention, certaines sphères peuvent avoir un contact imaginaire avec la surface : leur centre ne sera pas compté dans l'ensemble réel) ; par exemple, l'ensemble de symétrie d'une surface anallagmatique est sa déférente. |
Une notion voisine de celle de surface d'équidistance,
plus ensembliste que géométrique, est celle d'ensemble
médiateur de deux sous-ensembles de l'espace, ensemble
des points situés à égale distance de ces deux sous-ensembles
(la distance à un ensemble étant la borne inférieure
des distances à un point de cet ensemble) ; lorsque les sous-ensembles
sont des surfaces, l'ensemble médiateur est en général
inclus dans la surface d'équidistance.
| Voici par exemple l'ensemble médiateur de deux sphères sécantes, toujours formé d'un ellipsoïde, mais dont l'hyperboloïde ne comporte plus qu'une nappe : | ![]() |
La notion ensembliste voisine de celle d'ensemble de symétrie
est alors celle de squelette d'une partie compacte X
de l'espace, qui est l'adhérence de l'ensemble des points M
de cet compact, tels que la distance de M à la frontière
du compact est atteinte en deux points distincts ; c'est aussi l'adhérence
de l'ensemble des centres des boules maximales incluses dans la partie
(une boule maximale étant une boule qui n'est strictement incluse
dans aucune autre de même centre).
| Pour un polyèdre convexe plein, le squelette est
formé de portions de plans bissecteurs de couples de faces, limitant
les "zones d'attraction" de chaque face (lieux des points du polyèdre
plein plus proches de la face considérée que des autres).
Voici par exemple, le squelette du parallélépipède rectangle, et celui du tétraèdre quelconque, formé des 6 triangles joignant le centre de la sphère inscrite aux arêtes. |
![]() |
![]() |
| Le squelette d'un polyèdre régulier, est
formé des triangles joignant le centre aux A arêtes.
A = 12 pour l'octaèdre (et le cube), A = 30 pour le dodécaèdre (et l'icosaèdre). |
![]() |
![]() |
On peut étendre la notion au cas où
X
est un sous-ensemble quelconque de l'espace; par exemple, si X est
le complémentaire d'une partie finie Y, le squelette est
formé des frontières des cellules
de Voronoï associées aux points de Y.
| surface suivante | surface précédente | courbes 2D | courbes 3D | surfaces | fractals | polyèdres |
© Robert FERRÉOL, Robert MARCH 2026