surface suivante surface précédente courbes 2D courbes 3D surfaces fractals polyèdres

HÉLICOÏDE
Helicoid, Schraubenfläche


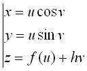
Équation cylindrique des hélicoïdes d’axe Oz.
Paramétrisation cartésienne :  (directrice ).
En particulier pour la directrice plane z = f(x)  : ().
Dans ce dernier cas :
Première forme quadratique : .

On désigne par hélicoïde toute surface globalement invariante par l’ensemble des vissages autour d’un axe fixe dont le vecteur de translation est dans un rapport de proportion fixé avec l’angle. Plus précisément, si l’axe est dirigé par le vecteur unitaire , il existe un réel h, appelé pas réduit de l’hélicoïde, tel que tout vissage d’angle  et de vecteur de translation  laisse globalement invariant l’hélicoïde. Le pas (tout court) de l'hélicoïde est alors le réel .

L’intersection de l’hélicoïde avec un cylindre de même axe est une réunion d’hélices circulaires de pas réduit h.
Lorsque h est égal à zéro, on obtient comme cas limite les surfaces de révolution.
Lorsque h est positif, l’hélicoïde est dit dextre, et senestre dans le cas contraire.

Le mouvement hélicoïdal d’une courbe (appelée génératrice, ou profil) autour d’une droite fixe engendre un hélicoïde.
Les sections d’un hélicoïde par des demi-plans bordés par l’axe de révolution, appelées méridiennes, en sont des génératrices particulières.
Exemples :
    - les hélicoïdes réglés (dont la génératrice est une droite) dont en particulier l’hélicoïde droit et l’hélicoïde développable.
    - les hélicoïdes cerclés, dont le serpentin, la vis de Saint-Gilles et la colonne torse.
    - les hélicoïdes minimaux (dont l'hélicoïde droit).
    - la surface de Dini (hélicoïde à courbure de Gauss constante).

Voir les rotoïdes, qui sont des hélicoïdes courbés, et les surfaces hélico-coniques.
 
 
surface suivante surface précédente courbes 2D courbes 3D surfaces fractals polyèdres

© Robert FERRÉOL  2025