| surface suivante | surface précédente | courbes 2D | courbes 3D | surfaces | fractals | polyèdres |
ROTOÏDE
Rotoid
Rotoïde réglé normal fermé d'âme un
horoptère
| Autre dénomination : hélicoïde généralisé.
Site d'Alain Esculier. Logiciel de Christian Deforeit. |
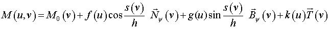
| Pour une courbe centrale où h est le pas réduit du rotoïde et 2ph son pas. |
On désigne par rotoïde toute surface
engendré par un vissage régulier d'une courbe (la génératrice)
autour d'une courbe fixe (la "courbe centrale", ou "âme" du rotoïde).
L’intersection du rotoïde avec un tube de même
courbe centrale est une réunion de solénoïdes
de pas réduit h.
Lorsque h est positif, le rotoïde est dit
dextre,
et senestre dans le cas contraire.
Lorsque la courbe centrale est rectiligne, on retrouve les hélicoïdes.
Lorsque la génératrice est une droite, on
obtient les rotoïdes réglés, avec des définitions
similaires à celles des hélicoïdes
réglés.
Pour un pas infini et une génératrice plane,
on obtient la notion de surface de Monge.
La surface de Möbius est un rotoïde réglé normal fermé de courbe centrale un cercle.
Lorsque le centre d'un polygone régulier se déplace
le long d'une courbe, perpendiculairement à elle, avec un mouvement
de torsion régulier, les côtés du polygone tracent
une surface que nous appellerons "prisme rotoïdal". Chaque "face"
de ce "prisme" est une portion de rotoïde réglé normal
ouvert.
Pour le cas d'une courbe centrale rectiligne, voir à
hélicoïde
réglé.
Dans le cas d'une courbe centrale circulaire, d'un polygone
(convexe) à n côtés, et d'une torsion de k
n-ièmes de tour pour une révolution, on obtient une surface
composée de d = PGCD(n, k) "faces" (au bout d'une
révolution le côté n° x du polygone va se
raccorder au côté n° x+k modulo n). De plus
les "arêtes" sont également au nombre de d, et forment
un entrelacs
torique de type (k, n) : chaque composante tourne n/d
fois autour de l'axe, et s'enroule k/d fois autour du tore.
En particulier, si n et k sont premiers
entre eux, le prisme rotoïdal n'a qu'une "face" et qu'une arête.
Exemples pour n = 3 :
| k = 1 : une face, une arête non nouée | k = 2 : une face, une arête nouée en noeud de trèfle | k = 3 : trois faces (faux rubans de Möbius à 2 demi-torsions), trois arêtes (cercles de Villarceau du tore, faux anneaux de Borromée) | k = 4 : une face, une arête, noeud torique de type (4,3), noeud premier à 8 croisements. |
![]() |
![]() |
![]() |
![]() |
Exemples pour n = 4 :
| k = 1 : une face, une arête non nouée | k = 2 : deux faces, deux arêtes non nouées, formant un noeud de Salomon | k = 3 : une face, une arête, noeud torique de type (3,4), noeud premier à 8 croisements. | k = 4 : 4 faces (faux rubans de Möbius à 4 demi-torsions), 4 arêtes (cercles de Villarceau) |
A été nommé monoèdre par Jean-Pierre Petit |
![]() |
![]() |
![]() |
Exemples pour n = 6 :
| k = 1 : une face, une arête non nouée | k = 2 : deux faces, deux arêtes non nouées | k = 3 : trois faces, trois arêtes, entrelacs torique de type (3,6). | k = 4 : deux faces, deux arêtes non nouées, entrelacs torique de type (4,6). |
![]() |
![]() |
![]() |
![]() |
![]() |
Ci-contre, une vue du cas n = 4, k = 2
; si l'on contracte le carré traceur en un segment, (autrement dit,
si l'on colle les deux arêtes entre elles), on obtient un ruban
de Möbius.
On peut donc voir aussi ce solide comme un ruban de Möbius qui aurait été découpé dans du carton épais, la largeur du ruban étant égale à l'épaisseur du carton. |
| Généralisation au cas où k
est un rationnel p/q.
La section droite de la surface obtenue est un composé de q polygones à n côtés, soit un polygramme de symbole {qn/q}. Ci-contre le cas n = 3, p =1, q =2. |
![]() ![]() |
Jeu : trouver les valeurs de n et k dans
les sculptures ci-dessous :
![]() |
|
![]() |
![]() |
| Oeuvre photographiée au musée du compagnonage à Tours | Oeuvre de Jean-Daniel Huyghe | Oeuvre de Christophe Chini |
| Arche tordue (Rhymney Valley, Pays de Galles) ; chercher "twisted arch" sur internet pour beaucoup d'autres exemples d'arches rotoïdes... | ![]() |
| surface suivante | surface précédente | courbes 2D | courbes 3D | surfaces | fractals | polyèdres |
© Robert FERRÉOL 2018