surface suivante surface précédente courbes 2D courbes 3D surfaces fractals polyèdres

SURFACE DE RÉVOLUTION
Surface of revolution (or rotation surface), Drehfläche (oder Rotationsfläche)


Nota : les fonctions notées f qui suivent ne sont pas identiques !
Équation cartésienne générale des surfaces de révolution d’axe dirigé par (a, b, c) : .
Équation cartésienne générale des surfaces de révolution d’axe Oz : .
Équation cylindrique : .
Équation sphérique : .
Équation aux dérivées partielles : .
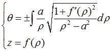
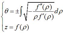
Paramétrisation cartésienne :  (génératrice ).
En particulier pour une génératrice plane  ().
Dans ce dernier cas : 
Première forme quadratique fondamentale.
Elément d’aire : .
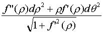
Deuxième forme quadratique fondamentale : .
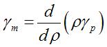
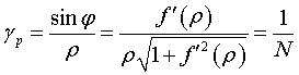
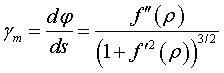
Courbure méridienne :  ; courbure parallèle : , où N est la normale à la courbe  par rapport à l'axe Oz ; remarquer .
Courbure de Gauss :  ; courbure moyenne : .
Les lignes de courbure sont les méridiennes et les parallèles ().
Les lignes asymptotiques ont pour équation cylindrique : .
Les géodésiques ont pour équation cylindrique :   (voir des compléments à la page géodésiques).
Théorèmes de Guldin :
L'aire de la surface de révolution engendrée par la rotation d'un arc de courbe plane autour d'un axe de son plan ne traversant pas l'arc de courbe est égale à l est la longueur de l'arc de courbe et d la distance du centre de gravité de l'arc à l'axe.

Le volume du solide de révolution engendré par la rotation d'un domaine plan autour d'un axe de son plan ne traversant pas le domaine est égal à S est l'aire du domaine et d la distance du centre de gravité du domaine à l'axe.
 

Une surface de révolution est une surface globalement invariante par toute rotation autour d’une droite fixe appelée axe de révolution.
La rotation d’une courbe (appelée génératrice) autour d’une droite fixe engendre une surface de révolution.
Les sections d’une surface de révolution par des demi-plans bordés par l’axe de révolution, appelées méridiennes, en sont des génératrices particulières.
Les sections par des plans perpendiculaires à l’axe sont des cercles appelés parallèles de la surface (une surface de révolution est donc une surface cerclée).

On peut aussi définir les surfaces de révolution comme les tubes à section variable dont l'âme est rectiligne, ou comme les enveloppes de sphères dont les centres sont alignés.

Une surface est une portion de surface de révolution ssi la normale en tout point rencontre ou est parallèle à une droite fixe (qui est l'axe de révolution).

Exemples :
 - le plan
 - les quadriques de révolution : cylindre de révolution, cône de révolution, sphère, ellipsoïde de révolution, hyperboloïdes (H1 et H2) de révolution, paraboloïde de révolution
 - le tore
 - le caténoïde, l’onduloïde, le nodoïde, cas particulier des surfaces de Delaunay (courbure moyenne constante)
 - la pseudo-sphère
 - les surfaces de révolution à courbure totale constante
 - les surfaces de révolution aux courbures propotionnelles
 - la révolution de la sinusoïde
 - la goutte d'eau pendante
 - la trompette de Gabriel
 - la tour à pression constante
 - la surface du solide d'attraction maximale
 - les surfaces de révolution du huit
 - les surfaces de révolution de la lemniscate de Bernoulli
 - la poire de Tannery
 - l'oeuf double 3D.

Voici un classement suivant la nature de la génératrice :
 
Génératrice Axe Surface de révolution
droite droite orthogonale plan
droite droite sécante cône de révolution
droite droite parallèle cylindre de révolution
droite droite non coplanaire hyperboloïde de révolution à une nappe
cercle diamètre du cercle sphère
cercle dans le plan du cercle tore (les cercles générateurs en sont les méridiens)
cercle rencontrant l'axe du cercle portion de sphère
cercle  Oz tore (les cercles générateurs en sont les cercles de Villarceau)
ellipse axe de l’ellipse ellipsoïde de révolution
parabole axe de la parabole paraboloïde de révolution
hyperbole axe non focal hyperboloïde de révolution à une nappe
hyperbole axe focal hyperboloïde de révolution à deux nappes
hyperbole équilatère asymptote trompette de gabriel
chaînette base caténoïde
roulette de Delaunay base onduloïde et nodoïde
tractrice asymptote pseudo-sphère
logarithmique asymptote tour à pression constante
sinusoïde axe de translation révolution de la sinusoïde

 
Animation montrant la déformation de la surface de révolution engendrée par la rotation d'un cercle autour d'un axe, partant d'un tore (engendré par ses cercles de Villarceau), passant par une demi-sphère, et arrivant sur un tore.

 
Cubique de révolution d'équation  ; sa méridienne est étudiée sur la page de la courbe d'Agnesi.

 
surface suivante surface précédente courbes 2D courbes 3D surfaces fractals polyèdres

© Robert FERRÉOL  Alain ESCULIER 2022