| courbe suivante | courbe précédente | courbes 2D | courbes 3D | surfaces | fractals | polyèdres |
COURBE D'ALAIN
Alain
curve

| Courbe dont l'étude a été proposée par Alain Juhel. |
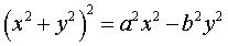
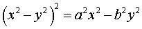
| Équation cartésienne : Quartique rationnelle. Équation polaire : Pour a > b : équation polaire Pour 0 < a < b : équation polaire |
La courbe d'Alain est la courbe définie
par l'équation cartésienne ci-dessus.
Voici ses différentes allures :
|
|
|
Réunion des deux hyperboles |
![]() |
|
|
|
Hyperbole |
![]()
Lemniscate cylindrique. |
| La courbe d'Alain est la projection sur le plan xOy
de l'intersection du cône
elliptique : |
![]() |
| Dans le cas a < b, cette courbe est aussi la
projection plane de l'intersection
de deux cylindres de révolution à plan tangent en commun,
le plan de projection étant ce plan commun.
Plus précisément, la projection sur le plan
xOy
des cylindres . |
![]() |
Voir aussi les courbes
de Booth, images des précédentes par une affinité
complexe.
Ci-dessous, animation des courbes d'Alain ,
en rouge, avec les lemniscates de Booth
,
en vert.

| courbe suivante | courbe précédente | courbes 2D | courbes 3D | surfaces | fractals | polyèdres |
© Robert FERRÉOL 2016