| courbe suivante | courbe précédente | courbes 2D | courbes 3D | surfaces | fractals | polyèdres |
HYPERBOLE ÉQUILATÈRE
Rectangular
hyperbola, gleichseitige Hyperbel

| Autres noms : hyperbole rectangulaire, hypercercle.
Voir aussi : article APMEP. |
![]() |
Équation cartésienne réduite : Foyers : F( Directrices : droites d'équation x = |
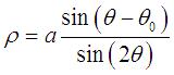
| Paramétrisation cartésienne : ou Équation polaire : Equation polaire générale d'une hyperbole équilatère passant par O : Abscisse curviligne : Rayon de courbure : Équation bifocale : Équation tripolaire : MF.MF' = OM2, O étant le milieu de [FF']. Équation polaire (pôle F, axe Fx) : |
| tion |
L' hyperbole équilatère est l'hyperbole
à axes (ou asymptotes) perpendiculaires, ou d'excentricité .
Elle est aux hyperboles générales ce qu'est le cercle aux
ellipses.
En voici diverses définitions géométriques
:
| 1) Définition conique :
L'hyperbole équilatère est la section d'un cône de révolution équilatère (angle au sommet de 90°) par un plan strictement parallèle à l'axe du cône. |
![]() |
2) Définition bifocale :
L'hyperbole équilatère est le lieu d'un
point dont la différence des distances à deux points fixes
F
et F' est égale à
fois la distance entre ces deux points (voir l’équation bifocale
ci-dessus).
3) Définition par foyer et directrice :
L'hyperbole équilatère est le lieu d’un
point M tels que
où H est le projeté de M sur la directrice
(D).
4) Définition cissoïdale
:
Étant donné deux droites perpendiculaires
et un point A en dehors de ces droites, le lieu des points M
tels que
où P et Q sont les deux points d'intersection avec
les deux droites d'une droite variable passant par A, est l'hyperbole
passant par A et d'asymptotes les deux droites de départ
(on en déduit facilement que l’hyperbole est la cissoïdale
de deux droites perpendiculaires).
5) a) Définition angulaire (cas particulier de
stelloïde)
:
| Étant donnés deux points distincts A
et
B,
le lieu des points M tels que les bissectrices des droites (MA)
et (MB) aient des directions constantes est l'hyperbole équilatère
passant par A et B dont les asymptotes passent par le milieu
de [AB] et sont parallèles à ces directions constantes.
Interprétation mécanique * : une corde est attachée à une extrémité à un point fixe A, passe par une poulie B et est maintenue à la main à l'autre extrémité. Un seau est suspendu à la corde par une poulie entre A et B. Le seau décrit une portion d'hyperbole équilatère. * Voir Roguet p 161 (1842) |
![]() |
![]() La courbe du seau d'eau : comparer avec la courbe du danseur de corde. |
5) b) Définition angulaire équivalente à la précédente.
| Etant donné trois points distincts A,B,C, le
lieu des points M vérifiant (AC, AM) = (BM, BC)
(1) (angles orientés de droites) est l'unique hyperbole équilatère
de diamètre [AB] (i.e. centrée au milieu de (A,B)),
éventuellement dégénérée, passant par
C.
Les asymptotes sont parallèles aux bissectrices de (AC) et
(BC).
(1) s'écrivant aussi : (AB, AM) – (BM,
AB) = (AB, AC) – (BC, AB), on peut donner une troisième
définition angulaire :
Par exemple, mesure(AB, AM) – mesure(BM, AB)
= Dit autrement, l'hyperbole équilatère de
sommets A et B est le lieu du sommet M d'un triangle
(AMB) vérifiant |
![]() |
| La définition précédente permet
la construction ci-contre [J.
Lemaire, hyperbole équilatère, p. 1]
de l'hyperbole équilatère de sommets A et B
à partir du cercle de diamètre [AB].
Le point P parcourant le cercle, les angles Analytiquement, avec A(a, 0) et B(-a,
0), la transformation |
![]() |
6) Définition strophoïdale
:
| L'hyperbole équilatère est la courbe strophoïdale d'une droite (D) relativement à un point O en dehors de (D) et un point A situé à l'infini sur une perpendiculaire à (D). | ![]() |
7) Définition comme enveloppe d'un triangle d'aire
constante.
| L'hyperbole équilatère est l'enveloppe
d'un segment [AB] dont les extrémités se déplacent
sur les axes orthogonaux Ox et Oy de sorte que le triangle
OAB
orienté ait une aire constante.
Le point de contact est le milieu de [AB] ( le projeté de O sur [AB] décrit une lemniscate de Bernoulli). Si donc on considère un récipient cubique rempli d'un liquide coloré dont une arête reste horizontale, la trace laissée par le liquide sur les bords lorsqu'on pivotera le récipient autour de cette arête sera limitée par une hyperbole. Cette propriété est conservée dans le cas de deux droites non orthogonales ; l'enveloppe est une hyperbole quelconque. La généralisation 3d de ce problème donne la surface xyz = cte. |
![]() |
| Figure montrant les 4 hyperboles équilatères |
![]() |
Voir aussi la chaînette
conique, la trompette
de Gabriel et les hyperboloïdes.
| courbe suivante | courbe précédente | courbes 2D | courbes 3D | surfaces | fractals | polyèdres |
© Robert FERRÉOL 2024