| courbe suivante | courbe précédente | courbes 2D | courbes 3D | surfaces | fractals | polyèdres |
LEMNISCATE DE BERNOULLI
Lemniscate
of Bernoulli, Bernoullische Lemniskate

| Courbe
étudiée par Jacques Bernoulli en 1694 et Fagnano en 1750.
Jacques Bernoulli (1654 -1705) : mathématicien suisse. Lien vers un article de Math OS. |
![]() |
Équation bipolaire : Équation tripolaire : Équation polaire : |
| Équation cartésienne : Quartique bicirculaire rationnelle. Paramétrisation cartésienne par fonctions circulaires : Paramétrisation cartésienne rationnelle : soit en complexes : Paramétrisation cartésienne par fonctions
hyperboliques : |
La lemniscate de Bernoulli dispute à la cardioïde le record du nombre d'appartenances aux diverses familles de courbes remarquables.
Elle est en effet :
| - un cas particulier d'ovale de Cassini (voir l’équation bipolaire) | |
| - un cas particulier de courbe de Booth. | |
| - un cas particulier de spirale sinusoïdale (voir l’équation polaire) | |
| - comme toute quartique bicirculaire rationnelle : à la fois podaire par rapport à O et inverse (cercle d'inversion de diamètre [A(a,0) ; A'(–a,0)]) de l’hyperbole équilatère de centre O et de sommets A et A' ; F et F' sont les inverses des foyers de cette hyperbole et les tangentes à l'origine, les inverses des asymptotes. |
![]() |
| - c'est donc aussi, en tant que podaire, l’enveloppe des cercles de diamètre d'extrémités son centre et un point de cette hyperbole. | ![]() |
| - ainsi que le lieu du centre d'une hyperbole roulant sans glisser sur une hyperbole égale, avec des sommets coïncidants. |
![]() |
| - la cissoïdale
du cercle de centre F passant par O et du cercle de centre |
|
| - la cissoïdale de pôle
O des cercles
(C) et (C') de centres F et F' et de rayon
a/2.
En pointillé les cercles (C) et (C'), en bleu leurs homothétiques dont la lemniscate est la médiane. |
![]() |
| - le lieu des milieux des segments de longueur 2d dont les extrémités décrivent les deux cercles de rayon a centrés en F et F'. |
![]() |
| La lemniscate est donc une courbe du trois-barres, dans le cas particulier de la courbe de Watt ; d'après le principe de l'échange bielle manivelle, il existe une deuxième construction avec quadrilatère articulé : |
![]() |
| Deux points A et B coulissant sur deux
axes perpendiculaires en O de sorte que le triangle OAB ait
une aire constante, le lieu du projeté M de O sur
[AB] est un lobe de lemniscate de Bernoulli.
Nota : la droite (AB) enveloppe une hyperbole équilatère, décrite par le milieu de [AB]. Équation polaire :
Source : AMM
1920 .
|
![]() |
| La lemniscate est encore :
- la section d'un tore, de rayon de révolution d et de rayon de méridienne d/2, par un plan situé à une distance d/2 de l'axe (la lemniscate est donc une spirique de Persée) |
![]() |
| - la courbe passant par O dont la courbure est proportionnelle à la distance à O (comparer avec la courbe élastique, dont la courbure est proportionnelle à la distance à une droite fixe) | |
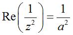
| - le lieu des points M tels que |
|
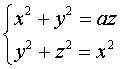
| - la projection sur le plan xOy de la
biquadratique
: |
![]() |
D'autre part :
- les courbes asymptotiques du conoïde de Plücker se projettent suivant des lemniscates de Bernoulli.
- la lemniscate de Bernoulli est une courbe synodale de toutes ses sécantes issues du point double :


| La développée
de la lemniscate de Bernoulli a pour paramétrisation On constate que les deux sommets correspondent à des maximums de courbure... |
![]() |
| ...contrairement à la lemniscate de Gerono où ils correspondent à des minimums... |
![]() |
| Extension : la podaire de l'hyperbole équilatère
par rapport à un point de l'axe de symétrie est une lemniscate
déformée, de paramétrisation |
![]() |
Mécanisme de Watt pour construire la lemniscate |
|
Surfaces de révolution autour des axes de symétrie.
| 1) Autour de l'axe passant par les sommets,
d'équation, et de paramétrisation cartésienne
: |
|
| 2) Autour de l'autre axe,
d'équation, et de paramétrisation cartésienne
: "Dibeos" a baptisé cette surface "podushka" (coussin en russe). |
|
Voir ici comment
"épaissir" une lemniscate:
.
| courbe suivante | courbe précédente | courbes 2D | courbes 3D | surfaces | fractals | polyèdres |
© Robert FERRÉOL 2021