| courbe suivante | courbe précédente | courbes 2D | courbes 3D | surfaces | fractals | polyèdres |
COURBE DU PONT-LEVIS
Drawbridge
curve, Zugbrückekurve

| Courbe étudiée par le
Marquis de L'Hospital qui a publié dans les Acta
Eruditorum en 1695 cette magnifique planche.
Le système a été mis en pratique
pour les pont-levis par l'ingénieur Bernard
Forest de Bélidor, pont-levis qui depuis portent son nom (cf.
dictionnaire portatif de l'ingénieur 1755).
Courbe étudiée par Poncelet en 1845.
|
![]() |
La courbe du pont-levis est la courbe décrite par l'extrémité du contre-poids d'un pont-levis (cf figure ci-dessus) de sorte que le système pont + contre-poids soit constamment en équilibre.
On montre que cette courbe n'est autre qu'une portion d'ovale de Descartes.
Voici une démonstration de ce fait :
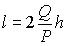
| Avec les notations de la figure ci-contre, écrivons
que l'énergie potentielle totale est constante : Si l'on considère le cas où le contre-poids est en C lorsque le pont est baissé, alors la constante E est nulle et Dans le cas général, si |
a = longueur du pont-levis = AB l = longueur du treuil = BC+CM P = poids du pont-levis Q = poids du contre-poids |
| Calcul de la tension du treuil : le pont étant
en équilibre, la somme des moments des forces s'y exerçant
est nulle : |
| On trouve un pontlevis à système Bélidor à Fort l'Ecluse (non loin de Genève). | ![]() |
![]() |
Autres courbes définies mécaniquement :
la
courbe du seau
d'eau, la courbe du danseur de corde.
Cas où la courbe du pont-levis est une portion de limaçon de Pascal |
Cas où la courbe du pont-levis est une portion d'ovale de Descartes. |
| courbe suivante | courbe précédente | courbes 2D | courbes 3D | surfaces | fractals | polyèdres |
© Robert FERRÉOL 2022