| courbe suivante | courbe précédente | courbes 2D | courbes 3D | surfaces | fractals | polyèdres |
COURBE DE POURSUITE 3D
3D
Pursuit curve, 3D Verfolgungskurve
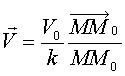
| Équation différentielle vectorielle : |
On appelle courbe de poursuite la trajectoire d'un mobile M (le chasseur) dont le mouvement est dirigé à chaque instant vers un autre mobile M0 (le chassé), dont la trajectoire est nommée courbe de fuite. On considère en général que les mouvements de M et M0 sont uniformes, de vitesses V et V0 = kV.
Comme on pourrait s'y attendre, le chasseur rattrape le chassé à coup sûr si et seulement s'il court plus vite que lui (k < 1) ; Lorsque les deux vitesses sont égales, la distance entre le chasseur et le chassé tend au cours du temps vers une constante a, et la courbe du chasseur tend à devenir la tractoire de celle du chassé avec une laisse de longueur a.
On peut aussi considérer des courbes de poursuites sur des surfaces : à tout instant, le chasseur se dirige sur la géodésique de la surface qui le joint au chassé.
Exemple : Courbe de poursuite sphérique ([Loria] p. 78).
Le chassé parcourt un grand cercle, et à
tout instant, le chasseur se dirige sur le grand cercle qui le joint au
chassé.
On montre que l'équation différentielle
de la trajectoire en cordonnées sphériques (q
= longitude, j = colatitude, le chassé
parcourant l'équateur) est :
Voir les courbes de poursuite planes.
On peut aussi généraliser à l'espace
les courbes
de poursuites mutuelles ; en voici deux exemples :
Réalisation Alain Esculier, anaglype à regarder avec des lunettes rouge (à gauche) et bleu (à droite) |
Envoyé par Emmanuel Amiot |
| courbe suivante | courbe précédente | courbes 2D | courbes 3D | surfaces | fractals | polyèdres |
© Robert FERRÉOL 2006