| polyèdre suivant | polyèdre précédent | courbes 2D | courbes 3D | surfaces | fractals | polyèdres |
ICOSITÉTRAÈDRE TRAPÉZOÏDAL
Trapezoidal icositetrahedron, Deltoidikositetraeder

| Famille | polyèdre semi-régulier de deuxième espèce, polyèdre de Catalan | ||||||
| Historique | étudié par Catalan en 1862 | ||||||
| Etymologie | icositétra = 24 ; les faces ne sont pas des trapèzes, mais des cerfs-volants ; il ne doit pas y avoir de terme grec ancien pour les cerfs-volants (chartaetós en grec moderne) | ||||||
| Autres noms | icositétraèdre deltoïdal, icositétraèdre tétragonal | ||||||
| Dual | rhombicuboctaèdre | ||||||
| Faces | 24 cerfs-volants
formés de deux triangles isocèles d'angles au sommet |
||||||
| Sommets | 26, dont 8 sommets de degré 3, de code de Schläfli 43 et 18 = 6 + 12 sommets de degré 4 de code 44. | ||||||
| Arêtes | 48, dont 24 arêtes de longueur et 24 arêtes de longueur angle dièdre : |
||||||
| Patron et graphe |
![]() ![]() |
||||||
| Diamètres | sphère inscrite : sphère circonscrite aux sommets de degré 3 : |
||||||
| Mensurations | volume : coefficient isopérimétrique : |
||||||
| Constructions |
|
||||||
| Coordonnées
des sommets |
12 sommets du cuboctaèdre : 8 sommets des pyramides triangulaires : 6 sommets des pyramides carrées : |
||||||
| Groupe des isométries | = celui du cube |
| Si l'on tourne la calotte supérieure d'un huitième de tour (noter ci-contre que le sommet de degré 3 central est à l'aplomb d'un sommet de degré 4 et non 3), on obtient un polyèdre à faces isométriques et sommets réguliers qui n'est pas semi-régulier : le gyro-icositétraèdre trapézoïdal, lui-même dual du gyro-rhombicuboctaèdre. Il n'est pas semi-régulier car les sommets de degré 4 ne sont pas isométriques entre eux. |
![]() |
| Si l'on partage les 8 faces d'un octaèdre en trois
à partir du centre, ou les 6 faces d'un cube en quatre carrés,
on obtient deux "polyèdres" (dont certaines faces sont coplanaires)
ayant la structure de l'icositétraèdre trapézoïdal.
On peut passer continûment de l'un à l'autre ; on obtient l'icositétraèdre semi-régulier lorsque les trois octogones formés par les grandes arêtes sont réguliers. Voir la page
d'Alain Esculier expliquant le principe de cette expansion.
|
![]() |
| Les icositétraèdres intermédiaires
ci-dessus ont pour sommets :
- les 6 - les 12 - les 6 Equation cartésienne de la surface : max((1-k)(abs(x) + abs(y))+k abs(z) - ka, (1-k)(abs(y) + abs(z))+k abs(x) - ka, (1-k)(abs(z) + abs(x))+k abs(y) - ka) = 0 Le cas semi-régulier est obtenu pour A droite : cas non convexe obtenu pour k < 1/2. |
![]() |
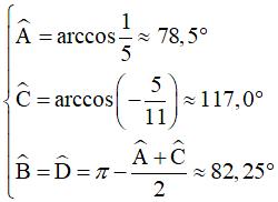
Les faces sont des cerfs-volants dont les angles sont
donnés (avec les notations ci-contre) par :
|
![]() |
| L'intersection de 4 prismes hexagonaux réguliers
pleins dont les axes sont les diagonales d'un cube (ou les 4 diagonales
faciales d'un octaèdre) forme un solide dont la surface est un polyèdre
équivalent à l'icositétraèdre, obtenu pour Remarquer que chacune des 6 faces d'un prisme fournit 6 faces du polyèdre, qui possède donc bien 24 faces.
Note : ce polyèdre est identique à celui défini ici par un certain G. Haigh. |
|
| L'intersection de 4 cylindres de révolution pleins
suivant les mêmes axes forme un solide
de Steinmetz dont la surface a une structure d'icositétraèdre
trapézoïdal
(chaque cylindre forme un
ruban composé de 6 "faces" du (faux) polyèdre)
:
|
Intersections de 4 prismes réguliers à n faces pour des valeurs croissantes de n. |
Cristal de leucite, en forme d'icositétraèdre
trapézoïdal
| polyèdre suivant | polyèdre précédent | courbes 2D | courbes 3D | surfaces | fractals | polyèdres |
© Robert FERRÉOL Alain Esculier, Bernard Dupuy, Robert March 2023