polyèdre suivant polyèdre précédent courbes 2D courbes 3D surfaces fractals polyèdres

RHOMBICUBOCTAÈDRE ET GYRO-RHOMBICUBOCTAÈDRE
Rhombicuboctahedron and gyrorhombicuboctahedron,
Rhombenkuboktaeder und Gyrorhombenkuboktaeder

Du grec rhombos "losange" + cuboctaèdre : c'est un cuboctaèdre avec des losanges en plus (qui sont en fait des carrés).
Autre nom du rhombicuboctaèdre : petit rhombicuboctaèdre, le grand étant alors le cuboctaèdre tronqué.
Autres nom du gyro-rhombicuboctaèdre : pseudo-rhombicuboctaèdre, néo-rhombicuboctaèdre, polyèdre de Miller, d'Achkinouze, de Bert.
Vues Povray de cette page réalisées par Alain Esculier.

 
  rhombicuboctaèdre gyro-rhombicuboctaèdre
Famille polyèdre semi-régulier, ou polyèdre d'Archimède IFR (inscriptible à faces régulières)
polyèdre de Johnson n° 37, sous le nom de gyro-bicoupole carrée allongée.
Historique solide connu d'Archimède (IIIe s. av. J.C.) Aurait été connu de Képler.
D'après la légende, aurait été redécouvert suite à une erreur de construction du rhombicuboctaèdre, successivement par les mathématiciens anglais, français et russe : J.C.P. Miller, M. Bert et V.G. Achkinouze dans les années 1930, 1940 et 1950.
Dual icositétraèdre trapézoïdal gyro-icositétraèdre trapézoïdal
Faces 18 carrés et 8 triangles 18 carrés et 8 triangles
Sommets 24 sommets de degré 4, de code de Schläfli  3.4 24 sommets de degré 4, de code de Schläfli  3.4
Arêtes 48 arêtes de longueur a ; angle dièdre entre 2 carrés : 135° ; angle dièdre entre 1 carré et 1 triangle :  = 144° 44' 08" 48 arêtes de longueur a
Patron
 
Graphe
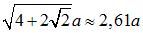
Diamètres sphère inscrite dans les carrés : 
sphère inscrite dans les triangles : 
intersphère (tangente aux arêtes)
sphère circonscrite
 
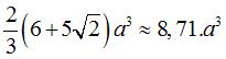
Mensurations volume :   aire : 
coefficient isopérimétrique : 
volume :       aire :
Constructions 1) cube ou octaèdre tronqué aux arêtes et aux sommets.

2) cuboctaèdre fortement tronqué aux sommets et déformé de sorte que les rectangles deviennent des carrés.
3) 3 anneaux octogonaux à faces carrées enlacés.
Obtenu en faisant pivoter d'un huitième de tour l'une des coupoles du rhombicuboctaèdre.
 
 

devient

Coordonnées des sommets et les permutés.
Équation cartésienne de la surface
(Bernard Dupuy)
Plans de symétrie 9  
Axes de rotation
6 axes passant par les centres de 2 carrés opposés
(1 rotation d'ordre 2  par axe)
4 axes passant par les centres de 2 triangles opposés (2 rotations d'ordre 3 par axe)
3 axes passant par les centres de 2 carrés opposés
(3 rotations d'ordre 4  par axe)
 
Groupe des isométries = celui du cube  
Polyèdres apparentés L'hexaèdre tronqué étoilé, qui a les mêmes sommets
Le grand rhombicuboctaèdre

 
Pourquoi le gyro-rhombicuboctaèdre n'est-il pas semi-régulier ?
Essayons d'amener à coincider un sommet du plateau supérieur à un sommet du plateau inférieur.
On sera obligé d'effectuer un demi-tour puis un huitième de tour ; la coupole inférieure va bien coincider, mais pas la supérieure...
Etrange rhombicuboctaèdre en verre, rempli d'eau, tiré du célèbre tableau représentant le géomètre Luca Pacioli.

 
Les 48 arêtes se répartissennt en 6 octogones qui projetés sur la sphères circonscrite forment 6 cercles donnant l'un des 13 pavages archimédiens de la sphère.
On peut entrelacer ces cercles de façon à obtenir un entrelacs à 24 croisements.
La première version ci-contre est alternée (passages dessus-dessous).
La deuxième version consiste en un dédoublement de l'entrelacs borroméen associé à l'octaèdre (à droite).
Chacun des 8 trios tricolores de cercles forme un trio d'anneaux de Borromée.
Sculpture d'Angel DUARTE, Lausanne, Suisse.
Les sommets extérieurs sont ceux d'un rhombicuboctaèdre, comme le montre la figure ci-contre, réalisée par Alain Esculier.

 
Lanternes en rhombicuboctaèdres étoilés :

 photo   Alain Esculier

 
 
polyèdre suivant polyèdre précédent courbes 2D courbes 3D surfaces fractals polyèdres

© Robert FERRÉOL 2019