| polyèdre suivant | polyèdre précédent | courbes 2D | courbes 3D | surfaces | fractals | polyèdres |
POLYÈDRE RÉGULIER, PAVAGE RÉGULIER
Regular polyhedron, regular tiling, reguläres Polyeder,
reguläre Markettierung
| Solides découverts par Théétète
d'Athènes au quatrième siècle avant J.C.
Autres noms : solides de Platon, ou platoniciens. Site : polyhedra.mathmos.net/entry/platonicsolids.html |
Un polyèdre est dit régulier si toutes ses faces sont des polygones réguliers de même type et si tous ses sommets sont de même degré.
Un drapeau étant une suite
où f est une face, a une arête de cette face,
et s une extrémité de cette arête, le polyèdre
est régulier ssi le groupe des isométries laissant le polyèdre
invariant est transitif sur les drapeaux, c'est-à-dire qu'il existe
toujours une isométrie envoyant un drapeau donné sur un drapeau
donné. Plus concrètement, cela se traduit par le fait que
si l'on fabrique une boîte moulant entièrement le polyèdre,
si l'on marque dans la boite une face, une arête de cette face et
une extrémité de cette arête, et si l'on fait de même
sur le polyèdre, le polyèdre pourra toujours y être
rangé en appliquant face marquée contre face marquée,
arête contre arête, et sommet contre sommet.
Autres CNS :
- polyèdre semi-régulier
dont les faces sont de même ordre
- polyèdre semi-régulier
de deuxième espèce dont les sommets sont de même
degré.
Attention : un polyèdre dont toutes les faces sont
des polygones réguliers de même type n'est pas forcément
régulier : par exemple : la bipyramide
à base triangulaire et faces régulières
(sommets
de degré 3 ou 4),
et plus généralement, tous les deltaèdres.
Un polyèdre régulier possède les régularités suivantes :
Concernant les faces :
1a) toutes les faces ont même
ordre
1b) toutes les faces ont la même
aire
1c) toutes les faces sont isométriques
1d) toutes les faces sont régulières
Concernant les sommets :
2a) tous les sommets ont même
degré
2b) les angles solides aux sommets
sont tous égaux
2c) tous les sommets sont isométriques
en ce sens que les figures formées par les demi-droites issues de
chaque sommet sont isométriques.
2d) tous les sommets sont réguliers
(les angles des faces arrivant en un même sommet sont égaux)
Concernant les arêtes :
3a) toutes les arêtes ont même
longueur
3b) tous les angles dièdres
sont égaux
Bon exercice : quels sous-ensembles de conditions ci-dessus caractérisent les polyèdres réguliers ?
Un polyèdre régulier (avec la définition des polyèdres donnée dans ce site) est convexe, inscriptible et circonscriptible (plus précisément, il possède une sphère tangente à chaque face en son centre).
Il existe à similitude près cinq polyèdres
réguliers (théorème de Platon) décrits dans
le tableau ci-dessous :
Rem : le code de Schläfli
de chaque sommet d'un polyèdre régulier est le même,
et de la forme pq (q p-gones arrivant à
chaque sommet),
et on désigne par symbole de Schläfli, qui se généralise
aux dimensions supérieures, la notation légèrement
différente : {p, q].
|
|
code et symbole de Schläfli |
|
|
|
|
|
| tétraèdre régulier | 33 {3,3} | 4 triangles | 4 de degré 3 | 6 | auto-dual | ![]() |
| cube | 43 {4,3} | 6 carrés | 8 de degré 3 | 12 | dual de l'octaèdre |
![]() |
| octaèdre (régulier) | 34 {3,4} | 8 triangles | 6 de degré 4 | 12 | dual du cube | ![]() |
| dodécaèdre (régulier) | 53 {5,3} | 12 pentagones | 20 de degré 3 | 30 | dual de l'icosaèdre |
![]() |
| icosaèdre (régulier) | 35 {3,5} | 20 triangles | 12 de degré 5 | 30 | dual du dodécaèdre |
![]() |
Il est remarquable que la donnée du symbole de
Schläfli {p , q} et de la longueur d'arête a définit
entièrement le polyèdre régulier, à isométrie
près.
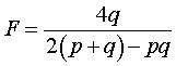
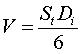
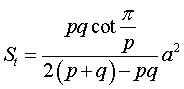
On peut du reste exprimer par des formules communes les
données concernant les 5 polyèdres réguliers, en fonction
de la longueur de l'arête a, de l'ordre p des faces
et du degré
q des sommets (S et F étant
déjà reliés par : q S = p F).
| Nombre de sommets | Nombre d'arêtes | Nombre de faces |
| Diamètre de la sphère inscrite | Diamètre de l'intersphère (tangente aux arêtes) | Diamètre de la sphère circonscrite |
|
|
|
|
| Angle dièdre entre deux faces adjacentes | Aire totale | Volume |
|
|
|
Les 5 polyèdres réguliers correspondent aux 5 pavages possibles de la sphère par des polygones sphériques réguliers (à 3 arêtes au moins), isométriques, bord à bord, et dont tous les sommets sont du même type, que nous relions ci-dessous aux 3 seuls pavages du plan par des polygones réguliers ayant des propriétés similaires.
Tout d'abord, 3+1 pavages triangulaires ou deltillages (images réalisées par Alain Esculier) :
![]() |
![]() |
![]() |
![]() |
| deltillage 33 correspondant au tétraèdre | deltillage 34 correspondant à l'octaèdre | deltillage 35 correspondant à l'icosaèdre | deltillage 36 plan |
1+1 pavages carrés, ou quadrillages :
![]() |
![]() |
|
|
|
1 pavage pentagonal ou pentillage sphérique et 1 pavage hexagonal ou hexillage plan :
![]() |
![]() |
|
|
|
Voir ici une application au nombre chromatique du tore |
Superbe pavage hexagonal à la mosquée Bleue de Tabriz
(Iran, Azerbaïdjan Oriental).
Photo, Alain Juhel. |
REM 1: il existe aussi sur la sphère des polygones à deux arêtes d'aire non nulle : les hosoèdres qui donnent lieu à d'autres pavages.
REM 2 : Il existe encore 4 polyèdres généralisés réguliers, dits "polyèdres réguliers étoilés", ou "polyèdres de Képler-Poinsot".
Pour d'autres généralisations, voir les
polyèdres
semi-réguliers, les polychores
réguliers, les polytopes réguliers.
| polyèdre suivant | polyèdre précédent | courbes 2D | courbes 3D | surfaces | fractals | polyèdres |
© Robert FERRÉOL 2014