| polyèdre suivant | polyèdre précédent | courbes 2D | courbes 3D | surfaces | fractals | polyèdres |
TÉTRAÈDRE
Tetrahedron, Tetraeder

| Du grec "tetra" quatre et "edros" siège, base. |
Un tetraèdre est un polyèdre
à 4 faces (ou 4 sommets), nombre minimal possible ; il n'en existe
qu'un seul type, équivalent
au tétraèdre régulier dont voici la carte de visite
:
| Famille | polyèdres
réguliers
également pyramides |
||||||
| Historique | découvert avant ou après le cube ???? | ||||||
| Dual | lui-même ¬
dual
polaire du tétraèdre par rapport à sa sphère
circonscrite |
||||||
| Faces | 4 triangles | ||||||
| Sommets | 4 sommets de degré 3, de code
de Schläfli 333
; angle solide
: |
||||||
| Arêtes | 6 arêtes de longueur a ; angle dièdre
: |
||||||
| Patrons |
![]() |
||||||
| Graphe (diagramme de Schlegel) |
![]() |
||||||
| Diamètres | sphère inscrite : |
||||||
| Mensurations | volume : coefficient isopérimétrique : |
||||||
| Coordonnées
des sommets |
|||||||
| Équations cartésiennes des plans faces | |||||||
| Équation de la surface du tétraèdre 1 | ou |
||||||
| Équation du tétraèdre 1 plein | |||||||
| Construction | troncature maximale
d'un sommet du cube sur deux : ![]() |
||||||
| Plans de symétrie | 6 plans médiateurs, passant par les 6 arêtes. | ||||||
| Axes de rotation |
|
||||||
| Groupe des isométries | ordre 24 : 12 rotations et 12 antirotations
ce groupe est isomorphe à S4 (action simple et transitive sur les 4 sommets, ou les 4 faces).
|
||||||
| Pavage | Le tétraèdre régulier ne pave pas l'espace, mais il le fait en association avec l'octaèdre régulier. | ||||||
| Polyèdres dérivés | par troncature forte : octaèdre ; par troncature faible : tétraèdre tronqué ; par chanfreinage : cuboctaèdre ; par adoucissement : icosaèdre ; par augmentation : triaki-tétraèdre . | ||||||
| Avatars | le tétraèdre de Sierpinski, le tétraèdre de Reulaux, la surface de Kümmer. |
![]() |
Le tétraèdre régulier donne une
réponse au problème dit "des dictateurs ennemis" dans le
cas n = 4 : quel est la taille maximale de n calottes sphériques
identiques (les états de chaque dictateur) de sorte qu'elles puissent
se répartir sur une sphère sans se chevaucher, et quelle
est alors leur disposition ?
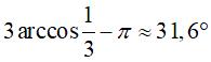
Réponse : les 4 calottes maximales ont un angle au centre de Sources : Marcel Berger, pour la Science 176, p. 72 et dossier Pour la Science 41 p. 40. La figure ci-contre montre également que le squelette de l'octaèdre régulier fournit, par projection sur la sphère circonscrite, un pavage régulier de la sphère par 4 triangles équilatéraux sphériques. |
| Le tétraèdre et son symétrique par rapport à son centre forment un polyèdre composé appelé stella octangula par Képler, octangle étoilé en francais ; ses sommets sont ceux d'un cube et la partie commune est un octaèdre. |
![]() |
| La surface
de Cayley : Voir plus généralement les surfaces cubiques ayant les symétries du tétraèdre à surface de Goursat. |
![]() |
Voir aussi la généralisation au simplexe.
Stella octangula au sommet d'un "trullo" à Alberobello.
| polyèdre suivant | polyèdre précédent | courbes 2D | courbes 3D | surfaces | fractals | polyèdres |
© Robert FERRÉOL 2011