| polyèdre suivant | polyèdre précédent | courbes 2D | courbes 3D | surfaces | fractals | polyèdres |
POLYGONE RÉGULIER et POLYGRAMME
Regular polygon and polygram, regulärer Polygon
(oder Vieleck) und Polygramm
| Les polygones réguliers croisés ont été
étudiés par Thomas
Bradwardine.
Polygramme : du grec poly "plusieurs" et gramma "lettre, écriture". Voir aussi : en.wikipedia.org/wiki/Star_polygon |
| Tracé par équation polaire d'un polygone
régulier de centre (0, 0) et de sommet (a, 0), à n
sommets joints de m en m : (idée de L. Sautereau). |
Un polygone (croisé ou non) est dit régulier s'il est équilatéral et équiangle, autrement dit, si tous ses côtés et ses angles sont égaux entre eux.
CNS : le groupe des rotations le laissant invariant est cyclique d'ordre l'ordre n du polygone (et le groupe des isométries est alors le groupe diédral d'ordre 2n).
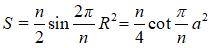
Le rayon R et le diamètre d'un polygone régulier sont le rayon et le diamètre du cercle auquel appartiennent ses sommets. Son apothème est la distance du centre aux côtés.
Le problème de la constructibilité à
la règle et au compas des sommets d'un polygone régulier
connaissant les extrémités d'un diamètre a été
résolu par Gauss en 1801 : la condition nécessaire et suffisante
est que l'ordre du polygone soit le produit d'une puissance de deux et
d'un certain nombre de nombres de Fermat (de la forme )
; entre 3 et 20 sont donc constructibles les polygones réguliers
d'ordres
.
Le premier polygone régulier non constructible
est l'heptagone. L'heptadécagone
est, lui, constructible, et une construction effective a été
trouvée par Gauss.
Voici les caractéristiques des premiers polygones
réguliers non croisés :
| n | angle au sommet
|
côté en fonction du rayon
|
apothème en fonction du rayon
|
aire
|
nom et symbole de Schläfli |
|
|
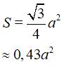
| 3 | 2 | triangle équilatéral {3} |
![]() |
||||
| 4 | 2 | carré {4} |
![]() |
||||
| 5 | 4 | pentagone régulier {5} |
![]() |
||||
| 6 | 2 | hexagone régulier {6} |
![]() |
||||
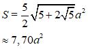
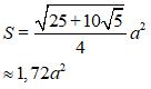
| 7 | 6 | heptagone régulier {7} |
![]() |
||||
| 8 | 4 | octogone régulier {8} |
![]() |
||||
| 10 | 4 | 144 ° | décagone régulier {10} |
![]() |
|||
| 12 | 4 | 150 ° | seul cas, avec celui du carré, où Preuve visuelle de ce résultat. |
dodécagone régulier {12} |
![]() |
Les n sommets du polygone régulier étant
déterminés, on obtient tous les polygones réguliers
associés en joignant les sommets de m en
m, où
m
est un entier premier avec n et compris entre 1 et n/2. Le
cas m = 1 donne le seul polygone non croisé, qui est convexe.
Il y a donc bijection entre les types de polygones réguliers
et les rationnels m/n strictement supérieurs à
2 ; le symbole {m/n} est appelé le symbole de Schläfli
du polygone.
Il existe donc à similitude près
polygones réguliers d'ordre n, où
est l'indicateur d'Euler de n, nombre de naturels premier avec n
.
Les seuls ordres où il n'existe pas de polygone régulier
croisé (ou polygramme) sont 3, 4 et 6, cas où
=2.
Si l'on joint les n sommets de m en
m,
où m est strictement compris entre 1 et n/2 et non
forcément premier avec n, on obtient un polygone régulier
d'ordre
; la figure formée de ce polygone et de ses images par la rotation
d'angle
itérée, formée de
polygones réguliers est également dénommée
polygramme ; il lui est attribuée le symbole de Schläfli {m/n}.
Voici les premiers polygrammes :
pentagramme {5/2} |
hexagramme {6/2}, ou étoile de David |
heptagramme {7/2} |
heptagramme {7/3} |
octogramme {8/2} |
octogramme {8/3} |
ennéagramme {9/2} |
ennéagramme {9/3}, ou étoile de Goliath |
ennéagramme {9/4} |
décagramme {10/2} |
décagramme {10/3} |
décagramme {10/4} |
undécagramme {11/2} |
undécagramme {11/3} |
dodécagramme {12/2} |
dodécagramme {12/3} |
dodécagramme {12/4} |
dodécagramme {12/5} |
| Petit piège : un polygone convexe inscriptible
et équiangle est forcément régulier, mais ce n'est
plus le cas pour un polygone croisé : l'étoile à huit
branches ci-contre est inscrite dans un cercle, a tous ses angles égaux
à 45°, mais n'est pas régulière (elle a des côtés
de longueur 3 et des côtés de longueur Le "bon" polygone régulier est à sa droite. |
![]() |
![]() |
Voir sur cette page les noeuds et entrelacs associés à ces polygrammes.
Voir aussi les courbes de Goursat, qui ont les mêmes symétries que les polygones réguliers.
Les figures ci-dessous montrent le parallélisme entre les notions de polygramme, d'épycycloïde, de noeud polygrammique, et de solénoïde torique.
polygramme {n/m} |
hypocycloïde de paramètre n/m Voir ausi les hypotrochoïdes |
noeud associé au polygramme {n/m} |
solénoïde torique de paramètre (n,m) |
Quelques objets heptagonaux
Pièce anglaise heptagonale, dont le contour n'est pas exactement un heptagone régulier, mais une courbe de largeur constante |
![]() |
![]() |
Rosace heptagonale, temple protestant saint-Éloi, Rouen, présentant un heptagramme {7/3} |
Quelques structures nonagonales (ou ennéagonales)
![]() |
Palmanova del Frioul |
Superbe "crop circle" avec deux ennéagrammes |
![]() |
Quelques structures décagonales
![]() |
coupole décagonale de la basilique St Gereon à Cologne |
passiflore |
![]() |
Une structure dodécagonale, et une tétradécagonale (très rare !)
![]() |
Le logo des musées de Florence |
Voir d'autres exemple dans ce livre.
Voir aussi les pavages réguliers (par un seul polygone régulier), et semi-réguliers (par plusieurs polygones réguliers), dont voici les 3 plus beaux :
![]() |
![]() |
![]() |
| polyèdre suivant | polyèdre précédent | courbes 2D | courbes 3D | surfaces | fractals | polyèdres |
© Robert FERRÉOL 2023