surface suivante surface précédente courbes 2D courbes 3D surfaces fractals polyèdres

SURFACE  D'HENNEBERG
Henneberg's surface, Hennebergsche Fläche


Surface étudiée par Henneberg en 1875, mais on verra sur cette page que Catalan connaissait cette surface en 1858, qu'il présente comme étant la première surface minimale connue qui soit algébrique.
Lebrecht Henneberg (1850 - 1923) : mathématicien allemand.

 
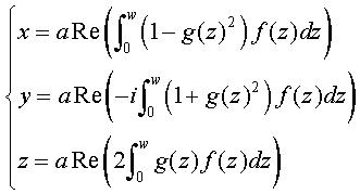
Paramétrisation cartésienne : .
Surface minimale algébrique.

Ci-contre, vue en rouge du segment d'auto-intersection obtenu pour u = 0, d'extrémités .

La surface d'Henneberg est la surface minimale obtenue en prenant  (puis ) dans la paramétrisation de Weierstrass d'une surface minimale.
 
 
Elle constitue un modèle du plan projectif ; c'est donc une surface unilatère, et on peut y tracer un ruban de Möbius comme on le voit ci-contre.
La ligne de coordonnée obtenue pour v = 0 est une parabole semi-cubique, d'équation  ; c'est une géodésique de la surface ce qui fait que la surface d'Henneberg est une surface de Björling associée à une parabole semi-cubique.
La surface étant invariante par antirotation d'axe Oz, d'angle  et de plan xOy, il y a une deuxième parabole semi-cubique, comme on le voit ci-contre.
Les surfaces "asssociées" à la surface d'Henneberg, obtenues en prenant  ont pour paramétrisation : 


 


Surface d'Henneberg avec ruban de Möbius qui s'intersecte, par Alain Esculier.



 
 
surface suivante surface précédente courbes 2D courbes 3D surfaces fractals polyèdres

© Robert FERRÉOL  2019