| courbe suivante | courbe précédente | courbes 2D | courbes 3D | surfaces | fractals | polyèdres |
ÉPICYCLOÏDE
Epicycloid,
Epizykloide

| Courbe étudiée par Hipparque au IIème
siècle avant J.C., Dürer en 1525, RØmer
en 1674 et Daniel Bernoulli en 1725.
Préfixe provenant du grec epi "sur". |
Les épicycloïdes sont les courbes décrites par un point d'un cercle (C) roulant sans glisser sur un cercle de base (C0), les disques ouverts de frontières (C) et (C0) étant disjoints ; ce sont donc des cas particuliers d'épitrochoïdes.

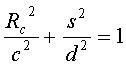
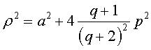
| Paramétrisation complexe : où a est le rayon du cercle de base et Paramétrisation cartésienne : Rayon vecteur : Abscisse curviligne donnée par Deux expressions intéressantes pour l'abscisse curviligne ; origine au début d’une arche (cas 2) ou en son milieu (cas 1) : 1) Angle tangentiel cartésien : Rayon de courbure : Équation intrinsèque 1 : ( Équation intrinsèque 2 : |
Les épicycloïdes sont des courbes formées
d'arcs isométriques (les arches) se rejoignant en des points
de rebroussements (obtenus pour )
en nombre égal au numérateur du nombre q si q
est rationnel et en nombre infini sinon.
Lorsque q est rationnel, ,
la courbe est algébrique rationnelle (prendre comme paramètre
).
Elle ressemble à un polygone régulier,
croisé si m ³ 2, à
n
sommets joints de m en m par des courbes situées à
l’extérieur du cercle (C0).
Lorsque l'on parle d'épicycloïde simple à
n
rebroussements (En), on considère
le cas q = n, c'est-à-dire celui où il n'y
a pas de croisement.
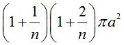
Informations dans ce cas :
| Longueur totale : Aire totale englobée : Lorsque le cercle roulant revient à son point de départ, il tourne n + 1 fois autour du cercle fixe. |
q = 1 : cardioïde |
q = 2 : néphroïde. |
q = 3 |
q = 4 |
q = 5 |
q = 1/2 : double cardioïde |
q = 3/2 |
q = 5/2 |
q = 7/2 |
q = 9/2 |
q = 1/3 |
q = 2/3 |
q = 4/3 |
q = 5/3 |
q = 7/3 |
q = 1/4 |
q = 3/4 |
q = 5/4 |
q = 7/4 |
q = 9/4 |
q = 1/5 |
q = 2/5 |
q = 3/5 |
q = 4/5 |
q = 6/5 |
| L'épicycloïde est aussi la courbe décrite
par un point d'un cercle de rayon |
![]() |
L’épicycloïde est l'enveloppe d'un diamètre d'un cercle de rayon double de celui de (C) roulant sans glisser sur et extérieurement à (C0).
C'est aussi l'enveloppe d'une corde (PQ) du cercle
de rayon a + 2b (cercle des sommets de l'épicycloïde),
P
et Q parcourant ce cercle dans le même sens et avec des vitesses
constantes dans le rapport q + 1 (ceci constitue la génération
dite de Cremona). Voir cette
vidéo de Michael Launay, pour une présentation originale.
Si l'on considère que les planètes ont
des mouvements circulaires uniformes dans un plan autour du soleil, la
droite qui joint les deux planètes enveloppe donc une épicycloïde.
C’est enfin l’antipodaire
par rapport à O de la rosace : .
| Sa développée
est sa propre image par la similitude directe de centre O, de rapport |
![]() |
L'une de ses développantes est donc une épicycloïde
semblable ; lorsque le numérateur de q est impair les autres
développantes sont des courbes auto-parallèles
.
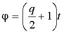
| On peut aussi définir les épicycloïdes
comme les trajectoires d’un mouvement somme de deux mouvements circulaires
uniformes de même vitesse et de mêmes sens (de paramétrisation
complexe : |
![]() |
| L'épicycloïde est la symétrique
de l'hypocycloïde tracée
avec le même cercle.
Par exemple, ci-contre, l'épicycloïde à 4 rebroussements est la symétrique de l'astroïde. |
![]() |
Les épicycloïdes sont des cas particuliers de courbe cycloïdale, avec les hypocycloïdes et la cycloïde.
Ce sont aussi des projections d'hélices sphériques.
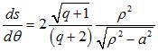
L'équation différentielle
montre, via l'équation d'Euler-Lagrange, que, de même que
la cycloïde, l'épicycloïde est une courbe
brachistochrone : c'est la courbe plane qui minimise le temps de parcours
d'un mobile se déplaçant librement le long de cette courbe,
cette courbe tournant à vitesse constante autour d'un centre fixe
O,
dans le cas où le mobile a une vitesse nulle lorsqu'il est à
distance
a de
O (lorsque
a est nul la brachistochrone
est alors la spirale logarithmique).
On retrouve les épicycloïdes comme frontières
des composantes principles des ensembles
de Mandelbrot associés à .
Voir aussi sur cette page les roulettes d'ellipses roulant sur une ellipse.
Voir aussi en 3D les épicycloïdes sphériques.

| courbe suivante | courbe précédente | courbes 2D | courbes 3D | surfaces | fractals | polyèdres |
© Robert FERRÉOL, Jacques MANDONNET 2016