| courbe suivante | courbe précédente | courbes 2D | courbes 3D | surfaces | fractals | polyèdres |
STROPHOÏDE DROITE (ou STROPHOÏDE DE NEWTON)
Right
strophoid or Newton's strophoid, gerade Strophoide oder Newtonsche
Strophoide

| Courbe étudiée par Roberval en 1645, Barrow
(professeur de Newton) en 1670, et Jean Bernoulli ; nom donné par
Enrico
Montucci en 1837.
Le nom vient du grec Strophos "cordon, ceinture, torsade". Isaac Newton (1642-1727) est un physicien, mathématicien et astronome anglais. Anciens noms : ptéroïde (de pteron "aile"), cucuméide (cucumion "marmite cassée" (le rapport ?)) et logocyclique. |
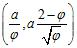
Coordonnées du point S : |
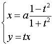
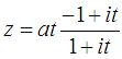
Équation polaire : Équation cartésienne : Cubique circulaire rationnelle à point double. Paramétrisation cartésienne : Paramétrisation cartésienne rationnelle : Si l'on prend pour repère (F(0, a) (sommet de la boucle),
L'équation complexe se met alors sous la forme |
Deux points O et F étant donnés, la strophoïde droite de sommet (ou foyer) F et de centre O est le lieu des points M d'une droite variable (D) passant par F tels que PM = PO où P est le point d'intersection de la droite (D) avec la perpendiculaire (D0) en O à (OF) (appelée axe de la strophoïde) ; autrement dit, c'est la courbe strophoïdale de (D0) relativement à O et F (ici, O est l’origine du repère et F est le point (a, 0)) ; c'est un cas particulier de strophoïde générale. Le point F est appelé foyer car c'est le foyer singulier de cette cubique.
PM
= PO| La strophoïde droite est donc aussi le lieu des points de contact des tangentes issues de F aux cercles (en bleu ci-contre) tangents en O à l'axe (D0), ou encore le lieu des intersections des cercles orthogonaux aux précédents (en vert ci-contre) tangents en O à (OF) avec les droites joignant F à leurs centres. | ![]() |
Voici trois autres constructions simples :
| La strophoïde droite est le lieu des points de contact entre une droite issue d'un point fixe F avec un cercle roulant sur une droite fixe passant par F. |
![]() |
| Une droite variable (D') passant par O coupe la parallèle (D1) à (D0) passant par F en Q ; la strophoïde droite est le lieu du point M où le cercle centré en F passant par Q recoupe (D'). | ![]() |
| Étant donné un point La transformation |
![]() |
| La strophoïde droite est le lieu de l'orthocentre
d'un triangle dont deux sommets A et B sont fixes et le troisième
décrit un cercle de rayon [AB].
Cf. une construction similaire du bicorne. |
![]() |
| Si (C) est le cercle de centre O passant par F et G le point diamétralement opposé à F, la strophoïde droite est le lieu des points M tels que si P est l'un des points d'intersection de la perpendiculaire à (OF) passant par M avec (C), les droites (OM) et (GP) sont parallèles (construction de Rosillo). |
![]() |
| La strophoïde droite possède aussi l'élégante
construction en 3D suivante :
si (C) est le cylindre de révolution d'axe (D0) et passant par F, la strophoïde droite est le lieu des foyers des ellipses sections du cône (C) avec les plans perpendiculaires au plan de la strophoïde et passant par F. Ceci montre que la droite (D0) est la médiane de pôle F de la strophoïde avec elle-même. |
L'ellipse de sommets F et F' a pour foyers M et M". |
| L'équation polaire |
![]() |
L'équation complexe ci-dessus montre que pour un droite passant par F, les deux points d'intersection avec la strophoïde sont inverses l'un de l'autre dans l'inversion de cercle d'inversion le cercle (C) de centre F passant par O :

Comme toute cubique circulaire rationnelle, la strophoïde droite peut être définie comme :
- la cissoïdale
relativement à O d’un cercle de rayon a passant par
O
et
d’une droite parallèle à la tangente en O
et
située à une distance a du cercle (l'asymptote de
la strophoïde) ;ici le cercle est le cercle (C) passant par
O
de centre F :
![]() |
La strophoïde est la cissoïdale du cercle pointillé et de la droite pointillée externe, donc aussi la médiane du cercle et de la droite pleins, homothétiques des précédents. |
l
![]() |
La strophoïde droite est donc l'enveloppe des cercles de diamètre joignant O et un point de la parabole ; autrement dit c'est une cyclique de déférente une parabole, avec une puissance d'inversion nulle et un pôle au pied de la directrice de la parabole. |
- l’inverse
d’une hyperbole équilatère
par rapport à l’un de ses sommets (ici de l'hyperbole équilatère
de sommets O et F (d'équation : ),
par rapport à O).

| - par la méthode de l'équerre de Newton : |
|
![]() |
![]() |
La strophoïde droite est aussi :
- un cas particulier de nœud
(cf. la deuxième équation polaire).
- un cas particulier d'hyperbole
cubique (cf. l'équation cartésienne)
| - un cas particulier de sectrice
de Maclaurin, d'où la construction à partir de 2 droites
en rotation uniforme, l'une ayant la vitesse double de l'autre.
Application : le lieu du centre du cercle inscrit dans le triangle ABC quand C décrit le cercle de centre A et de rayon AB est une strophoïde droite. |
![]() |
Elle possède enfin une définition mécanique comme courbe du danseur de corde :
![]() |
Un funambule marche sur une corde attachée à un point fixe O à l'une de ses extrémités, passant par une poulie A située à même hauteur que l'extrémité attachée, et tendue par un contre-poids attaché à l'autre extrémité, le poids du funambule étant égal à celui du contre-poids. |

| courbe suivante | courbe précédente | courbes 2D | courbes 3D | surfaces | fractals | polyèdres |
© Robert FERRÉOL 2024