courbe suivante courbe précédente courbes 2D courbes 3D surfaces fractals polyèdres

LIGNE ASYMPTOTIQUE d'une surface
Asymptotic line, Asymptotenlinie (od. Schmieglinie)


Notion étudiée par Dupin.
Du grec asumptôtos "qui ne s'affaisse pas".
Voir Fedenko, p. 84 à 87, ex. 792 à 818, corrigés p. 202 à 204.

 
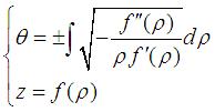
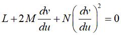
Équation différentielle :  équivalente à  où  est le vecteur normal à la surface en M ; soit  (annulation de la deuxième forme quadratique fondamentale), en général mise sous la forme .
Equation cylindrique des lignes asymptotiques de la surface de révolution :.

Les (lignes) asymptotiques d’une surface, qui sont intuitivement les lignes les moins courbées tracées sur la surface, possèdent trois définitions équivalentes :

DEF 1 :  ce sont les courbes tracées sur la surface qui sont tangentes en chaque point à l'une des directions asymptotiques (c'est-à-dire l'une des directions où la courbure est nulle ou encore l'une des asymptotes de la conique indicatrice de Dupin relative à ce point ou l’axe de celle-ci lorsqu’elle se réduit à deux droites parallèles).

DEF 2 : ce sont les courbes tracées sur la surface à courbure normale (c’est-à-dire la courbure de la section de la surface par le plan contenant la tangente à la courbe et la normale à la surface - voir les notations) constamment nulle. Cela équivaut à ce que la courbure géodésique soit égale à la courbure.

DEF 3 : ce sont les courbes tracées sur la surface telles qu'en chaque point, le plan tangent à la surface est osculateur à la courbe (autrement dit, les repères de Frenet et de Darboux coincident).

DEF 3 bis (point de vue cinématique) : ce sont les trajectoires d'un mobile se déplaçant sur la surface de sorte que le vecteur accélération est à tout instant dans le plan tangent à la surface.

Les lignes asymptotiques ne passent que par des points hyperboliques (en lesquels il en passe deux) ou paraboliques (en lesquels il n’en passe qu’une) de la surface ; elles sont tangentes en chaque point à la section de la surface par le plan tangent au point considéré.

Exemples :
     - les droites incluses dans la surface sont des lignes asymptotiques (voir par exemple les cas du paraboloïde hyperbolique et de l'hyperboloïde à une nappe)
     - pour une surface développable, les lignes asymptotiques sont les génératrices et elles seules.
     - une surface est minimale ssi par tout point passent deux lignes asymptotiques orthogonales.
    - voir sur les pages correspondantes les lignes asymptotiques du tore, du caténoïde, du conoïde de Plücker, de l'hélicoïde droit, de la tour à pression constante.

Voir aussi les pseudo-géodésiques, dont le plan osculateur fait un angle fixé avec le plan tangent (angle nul dans le cas des asymptotiques).
 
courbe suivante courbe précédente courbes 2D courbes 3D surfaces fractals polyèdres

© Robert FERRÉOL   2024