| fractal suivant | fractal précédent | courbes 2D | courbes 3D | surfaces | fractals | polyèdres |
ATTRACTEUR D’UNE FAMILLE DE CONTRACTIONS
| Notion introduite par Hutchinson en 1981.
En anglais : attractor of an IFS (iterated functions system). Autre article sur le sujet. |
Soit ,
une famille de contractions (c'est-à
dire vérifiant
) d'un espace métrique complet E.
Il existe alors un unique compact non vide A de
E
tel que ,
appelé attracteur (ou ensemble limite) de la famille
(c’est le point fixe attractif de la fonction f définie
sur les compacts non vides de
E par
).
Partant d'un compact quelconque
K0
, la récurrence
fournit une suite de compacts qui converge au sens de la métrique
de Hausdorff vers A .
Si les fi
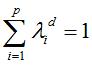
sont des similitudes de rapport ,
le nombre d défini par
(qui vaut
lorsque les similitudes sont toutes de rapports
)
est appelé la dimension de similitude interne de A.
Ce nombre est supérieur ou égal à
la dimension fractale de A et lui est égal si les
fi(A)
se coupent 2 à 2 sur leur frontière.
Exemples :
| Nom de l'attracteur | famille des contractions | dimension de similitude de KF |
| segment [AB] | 2 homothéties de rapport 1/2 de centres A et B | 1 |
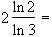
| ensemble de Cantor d’extrémités A et B | 2 homothéties de rapport 1/3 de centres A et B | |
| escalier du diable | 3 contractions affines | 1 |
| courbe du blanc-manger | 2 composées des homothéties de rapport 1/2 de centre A et B avec des transvections | 1 ? |
| courbe de Koch | 4 similitudes de rapport 1/3 | |
| ensemble unité | 2 similitudes directes de même rapport |
|
|
courbe du C |
2 similitudes directes de rapport |
2 ? |
| courbe du dragon | 2 similitudes directes de rapport |
2 |
| triangle rectangle isocèle vu comme courbe de Polya | 2 similitudes indirectes de rapport |
2 |
| carré plein ABCD | 4 homothéties de rapport 1/2 de centres A, B, C, D | 2 |
| carré plein vu comme courbe de Hilbert | 4 similitudes de rapport 1/2 | 2 |
| carré plein vu comme courbe de Peano | 9 similitudes de rapport 1/3 | 2 |
| carré plein vu comme courbe de Sierpinski | 4 similitudes de rapport 1/2 | 2 |
|
triangle de Sierpinski |
3 homothéties de rapport 1/2 de centres les sommets d'un triangle équilatéral | |
| tapis
de Sierpinski
Voir de nombreuses variantes sur cette page |
8 homothéties de rapport 1/3 centrées aux sommets et au milieu des côtés d'un carré | |
| île de Gosper | 7 similitudes de rapport 1/Ö 7 | 2 |
| fougère de Barnsley | 4 transformations affines | ? |
| cube plein | 8 homothéties de rapport 1/2 centrées aux sommets du cube | 3 |
| éponge de Menger | 20 homothéties de rapport 1/3 centrées aux sommets et au milieu des arêtes d'un cube |
Voir aussi les ensembles
limites d'une famille d'inversions.
| fractal suivant | fractal précédent | courbes 2D | courbes 3D | surfaces | fractals | polyèdres |
© Robert FERRÉOL 2013