surface suivante surface précédente courbes 2D courbes 3D surfaces fractals polyèdres

SYSTÈME TRIPLE ORTHOGONAL DE SURFACES
Triple orthogonal system of surfaces, dreifach orthogonales Flächensystem

Un système triple orthogonal de surfaces consiste en la donnée de trois familles à un paramètre de surfaces telles qu'en chaque point commun à trois représentants de chaque famille, les trois plans tangents à chaque surface sont 2 à 2 orthogonaux. Cette notion généralise à la 3D la notion de système double orthogonal de courbes.
D'après le théorème de Dupin, deux surfaces, prises dans deux des familles du système, s'intersectent suivant des lignes de courbure.
 
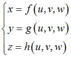
 Si les trois familles sont données sous forme paramétrique : ,
u fixé, v,w variables pour la première famille,
v fixé, u,w variables pour la deuxième, 
w fixé, u,v variables pour la troisième, 
les trois familles forment un système triple orthogonal ssi 
(autrement dit les colonnes de la jacobienne de  sont orthogonales 2 à 2).

Une première série d'exemples est fournie par la donnée d'un système double orthogonal  que l'on translate orthogonalement à son plan (les trois familles orthogonales sont formées de deux familles de cylindres construits sur les courbes de base et de la famille des plans orthogonaux à la direction de translation) ; le système triple orthogonal est alors paramétré par .
Quelques exemples (première famille, u fixé, en rouge, deuxième, v fixé, en bleu, troisième, w fixé, en vert) :
 
 
Système double orthogonal système triple cylindrique associé
paramétrisation
équations des trois familles nom du système de cordonnées (u,v,w)

plans
coordonnées cartésiennes

cylindres de révolution, plans
coordonnées cylindriques

cylindres paraboliques, plans
coordonnées cylindriques paraboliques

cylindres elliptiques, cylindres hyperboliques, plans
coordonnées cylindriques elliptiques

Une deuxième série est fournie par la donnée d'un système double orthogonal  que l'on pivote autour d'un axe de son plan (plutôt un axe de symétrie pour éviter les points coniques) ; les trois familles orthogonales sont formées de deux familles de surfaces de révolutions construites sur les courbes de base et de la famille des plans passant par l'axe de rotation) ; si l'on pivote autour de Oz, le système triple orthogonal est alors paramétré par .
Quelques exemples :
 
Système double orthogonal système triple de révolution associé paramétrisation équations des trois familles nom du système de coordonnées (u,v,w)

sphères, cônes, plans
coordonnées sphériques

ellipsoïdes allongés, hyperboloïdes à deux nappes, plans
coordonnées ellipsoïdiques allongées

ellipsoïdes aplatis, hyperboloïdes à une nappe, plans
coordonnées ellipsoïdiques aplaties

tores à trou, sphères, plans
coordonnées toriques

sphères, tores croisés, plans
coordonnées bisphériques

Une troisième série est obtenue par images par une inversion d'un système triple orthogonal, le système obtenu étant encore un système triple orthogonal (comme par toute transformation conforme).
 
Système orthogonal de départ équivalent 2D système triple paramétrisation équations des trois familles nom du système de coordonnées (u,v,w)
plans orthogonaux (associés aux coordonnées cartésiennes)
= trois faisceaux singuliers de sphères orthogonaux
coordonnées trisphériques
système associé aux coordonnées cylindriques
le système triple orthogonal inverse des coordonnées cylindriques n'est autre que ce système double formé de deux faisceaux de cercles orthogonaux tourné autour de Oz...

tores à trou nul, plans, sphères
coordonnées cylindriques inverses
Par inversion, les coordonnées sphériques redonnent elles-mêmes.

Quatrième série : systèmes de quadriques homofocales.
 
système triple paramétrisation intervalles de définition équations des trois familles Nom du système de coordonnées (u,v,w)
ellipsoïdes, hyperboloïdes à une nappe, hyperboloïdes à deux nappes
si  :

coordonnées ellipsoïdiques homofocales ;
voir aussi à quadriques.
paraboloïdes elliptiques tournés vers le haut, paraboloïdes hyperboliques, paraboloïdes elliptiques tournés vers le bas
Si  :

coordonnées paraboloïdiques homofocales ;
voir aussi à paraboloïde hyperbolique
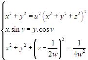
sphères, cônes elliptiques.
Remarquer le système double orthogonal de biquadratiques sur la sphère (rappelons que sur la sphère, toute ligne est de courbure).
Si  :


coordonnées coniques

Darboux a aussi étudié des systèmes triples orthogonaux de cyclides homofocales ; voir cette thèse page 220.
 
surface suivante surface précédente courbes 2D courbes 3D surfaces fractals polyèdres

© Robert FERRÉOL  2025