| courbe suivante | courbe précédente | courbes 2D | courbes 3D | surfaces | fractals | polyèdres |
COURBE DE GOURSAT
Goursat's
curve, goursatsche Kurve





| Nom maison, donné en hommage à Goursat,
qui a étudié les surfaces
ayant les symétries des polyèdres réguliers.
Autres noms : courbe à symétrie de rotation, courbe à symétrie radiale. |
Les courbes de Goursat d'ordre n sont les courbes ayant les symétries d'un polygone régulier à n côtés, c'est-à dire dont le groupe des isométries la laissant invariante est celui de ce polygone, à savoir le groupe diédral d'ordre 2n.
Une courbe est donc une courbe de Goursat d'ordre n
ssi
elle est invariante par une rotation d'un
n-ième de tour
(et non invariante par une rotation d'angle plus petit) et qu'elle possède
un axe de symétrie, ou ssi elle possède n axes de
symétrie concourants exactement.
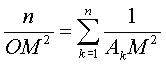
| Équation polaire générale d'une courbe de Goursat d'ordre multiple de n : | Équation cartésienne : |
| d'où la famille : (transformée de Brocard de la courbe |
forme correspondante :
|
Exemples : les rosaces:
et leurs inverses les épis, les spirales
sinusoïdales :
.
Cas particuliers :
1) n multiple de 2 :
| Équation polaire : |
Équation cartésienne : autrement dit : |
Exemples avec deux axes de symétrie exactement
:
degré 2 : les ellipses ,
les hyperboles
.
degré 4 : la lemniscate de Bernoulli
et plus généralement les ovales
de Cassini, la lemniscate de Gérono
,
la puntiforme, la
campyle
d'Eudoxe, le kappa, le double
U, la quartique de Kulp, la trisectrice
de Delanges, les courbes d'Alain,
les courbes du diable.
ETC....
2) n multiple de 3 :
| Équation polaire : |
Équation cartésienne : Rem : |
Exemples avec trois axes de symétrie exactement
:
degré 3 : le trèfle
équilatère :
et la cubique de Humbert :
(qui sont à similitude près les seules cubiques 3-courbes
de Goursat)

.
degré 4 : les hypotrochoïdes
de
paramètre q = 3:
(dont la deltoïde, k =
1 et le trifolium
régulier, k = 2)
,
les conchoïdes
de trifolium régulier
,
la courbe de Kiepert,
la quartique de Klein
,
la quartique de Loriga,
3) n multiple de 4 :
| Équation polaire : |
Équation cartésienne : |
Exemples avec quatre axes de symétrie exactement
:
degré 4 : la cruciforme
équilatère : ,
les quartiques de Salmon
.
degré 6 : les hypotrochoïdes
de paramètre q = 4 : (dont l'astroïde et le quadrifolium),
les conchoïdes
de rosaces de paramètre 4
avec b non nul
,
le moulin à vent,
la sextique de Loriga
:
.
4) n multiple de 5 :
| Équation polaire générale : |
Équation cartésienne générale
: |
Exemples avec cinq axes de symétrie exactement
:
degré 5 : équation cartésienne générale
: (l'un
des 3 nombres k, k', k" pouvant être choisi arbitrairement).
(k,k',k")=(1,0,0) donne l'épi
d'ordre 5
,
donne la courbe à 5 points doubles :
(k,k',k")=(0,–1,0.2) donne
5) n multiple de 6 :
| Équation polaire générale : |
Équation cartésienne générale
: |
Exemples avec six axes de symétrie exactement :
degré 6 :
et
Exemples de familles infinies :
- les conchoïdes
de rosace :
sont de Goursat d'ordre n (sauf pour n pair et b nul
: ordre 2n)
- toutes les familles de courbes définies
symétriquement à partir de n points ,
sommets d'un polygone régulier (cf. le principe
de Curie) ; en particulier les courbes
(
: courbes
isophoniques,
: équipotentielles de
Cayley,
: ?,
:
cercles), les courbes de Loriga :
,
et les cassiniennes :
.
| Toutes les courbes d'équation polaire Exemple ci-contre : |
![]() |
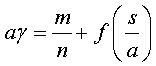
| Plus généralement, f étant
une fonction complexe, ayant les mêmes propriétés,
la courbe de paramétrisation complexe Dans ce cas rentrent les épi- et hypotrochoïdes ( Le cas plus général Ci-contre, la tritrochoïde obtenue pour |
![]() |
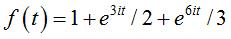
| f ayant les mêmes propriétés,
la courbe de paramétrisation complexe Dans ce cadre rentrent les courbes à rayon sinusoïdal généralisées. |
![]() |
| Les courbes définies par une équation
intrinsèque : Forme équivalente : Exemple ci-contre : n = 5, m = 3 , On obtient ainsi toutes les courbes de Goursat d'ordre n d'indice de rotation non nul. |
![]() |
Classification des courbes génériques sphériques , de Goursat d'ordre n, ayant exactement n points doubles.
Il y en exactement de 3 types, dont l'un n'a des représentants
que pour n impair :
| 2 points doubles | 3 points doubles | 4 points doubles | 5 points doubles | |
| Premier type
Hypotrochoïde de paramètre q = n, sauf pour n = 2. Indice de rotation : n -1 |
Lissajous x = cos t , y = sin 3t. |
![]() |
![]() |
![]() |
| Deuxième type
Épitrochoïde de paramètre q = n. Indice de rotation : n +1 |
![]() |
![]() |
![]() |
![]() |
| Troisième type
Conchoïde de rosace de paramètre n/2 Indice de rotation : 2 |
![]() |
![]() |
Voir aussi les surfaces
de Goursat, et les surfaces
à symétries de rotation.
| courbe suivante | courbe précédente | courbes 2D | courbes 3D | surfaces | fractals | polyèdres |
© Robert FERRÉOL
2011